精英家教网 > 高中数学 > 题目详情

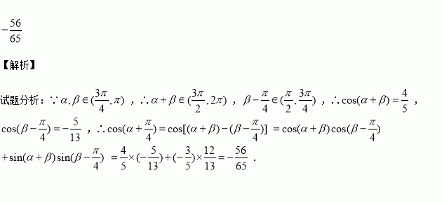
已知,则___________________.

练习册系列答案
相关习题

科目:高中数学 来源:2015-2016学年宁夏六盘山高中高二下第二次月考文数学卷(解析版) 题型:解答题

已知直线经过点,倾斜角

(1)写出直线的参数方程;

(2)设与圆相交与两点,求点两点的距离之积.

查看答案和解析>>

科目:高中数学 来源:2015-2016学年辽宁省庄河市高一下期中文科数学试卷(解析版) 题型:解答题

已知之间有关系,其中

(1)用表示

(2)求的最小值,并求此时的夹角的大小.

查看答案和解析>>

科目:高中数学 来源:2015-2016学年辽宁省庄河市高一下期中文科数学试卷(解析版) 题型:选择题

已知,则( )

A.11 B.9 C.0 D.-9

查看答案和解析>>

科目:高中数学 来源:2015-2016学年辽宁省庄河市高一下期中理科数学试卷(解析版) 题型:解答题

设向量

(1)若,求的值;

(2)设函数,求的最大值及单调递增区间.

查看答案和解析>>

科目:高中数学 来源:2015-2016学年辽宁省庄河市高一下期中理科数学试卷(解析版) 题型:选择题

已知点内一点,则以点为中点的圆的弦长为( )

A. B. C. D.6

查看答案和解析>>

科目:高中数学 来源:2015-2016学年辽宁省庄河市高一下期中理科数学试卷(解析版) 题型:选择题

若角的终边在直线上,且,则的值分别为( )

A. B.

C. D.

查看答案和解析>>

科目:高中数学 来源:2015-2016年新疆兵团农二师华山中学高二下期中理数学卷(解析版) 题型:选择题

阅读如图所示的程序框图,运行相应的程序,输出的S的值等于( )

A.18 B.20 C.21 D.40

查看答案和解析>>

科目:高中数学 来源:2015-2016学年山西怀仁一中高一下第三次月考理科数学卷(解析版) 题型:填空题

已知向量的夹角为,且,则

查看答案和解析>>

同步练习册答案