精英家教网 > 高中数学 > 题目详情

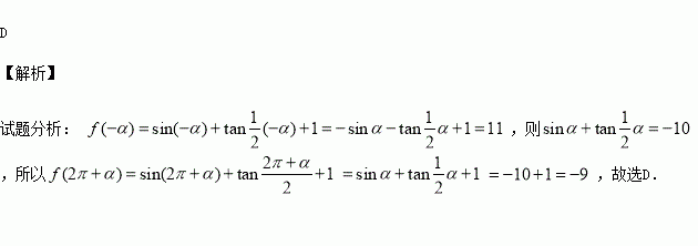
已知,则( )

A.11 B.9 C.0 D.-9

练习册系列答案
相关习题

科目:高中数学 来源:2016届重庆市高三下学期模拟文科数学试卷(解析版) 题型:选择题

函数的定义域和值域都是( )

A.1 B.2 C.3 D.4

查看答案和解析>>

科目:高中数学 来源:2015-2016学年宁夏六盘山高中高二下第二次月考理数学卷(解析版) 题型:选择题

如果一个三位正整数如“”满足,则称这个三位数为凸数(如120,343,275等),那么所有凸数的个数为( )

A.240 B.204 C.729 D.920

查看答案和解析>>

科目:高中数学 来源:2015-2016学年辽宁省庄河市高一下期中文科数学试卷(解析版) 题型:解答题

设集合

(1)若,判断集合的关系;

(2)若,求实数的组成的集合

查看答案和解析>>

科目:高中数学 来源:2015-2016学年辽宁省庄河市高一下期中文科数学试卷(解析版) 题型:选择题

函数的部分图象如图所示,则函数表达式为( )

A. B.

C. D.

查看答案和解析>>

科目:高中数学 来源:2015-2016学年辽宁省庄河市高一下期中理科数学试卷(解析版) 题型:解答题

已知

(1)设的定义域为,值域为的定义域为,值域为,且,求实数的取值范围.

(2)若方程上恰有两个解,求实数的取值范围.

查看答案和解析>>

科目:高中数学 来源:2015-2016学年辽宁省庄河市高一下期中理科数学试卷(解析版) 题型:填空题

已知,则___________________.

查看答案和解析>>

科目:高中数学 来源:2015-2016年新疆兵团农二师华山中学高二下期中理数学卷(解析版) 题型:解答题

如图,在四棱锥P﹣ABCD中,底面ABCD是正方形,侧棱PD⊥底面ABCD, PD=DC,E是PC的中点,作EF⊥PB交PB于点F.

(1)证明PA∥平面EDB;

(2)证明PB⊥平面EFD;

(3)求二面角C﹣PB﹣D的大小.

查看答案和解析>>

科目:高中数学 来源:2015-2016学年广东中山一中高二下期中理科数学试卷(解析版) 题型:选择题

,则等于( )

A. B. C. D.

查看答案和解析>>

同步练习册答案