精英家教网 > 高中数学 > 题目详情

选修4-4:坐标系与参数方程

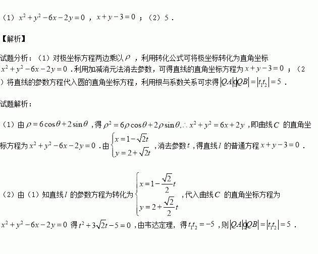
已知极坐标系的极点与直角坐标系的原点重合,极轴与轴的非负半轴重合,若曲线的极坐标系方程为

,直线的参数方程为为参数).

(1)求曲线的直角坐标方程与直线的普通方程;

(2)设点直线与曲线交于两点, 求的值.

练习册系列答案
相关习题

科目:高中数学 来源:2016届山西晋城市高三下学期第二次模拟数学(文)试卷(解析版) 题型:解答题

选修4-4:坐标系与参数方程

已知直线的参数方程分别是为参数),以坐标原点为极点,轴的正半轴为极轴建立极

坐标系,曲线的极坐标方程为.

(1)求曲线的直角坐标方程与直线的极坐标方程;

(2)若直线与曲线交于点(不同于原点),与直线交于点,求的值.

查看答案和解析>>

科目:高中数学 来源:2016-2017学年河北枣强中学高一上学期月考一数学试卷(解析版) 题型:选择题

已知,则( )

A. B. C. D.

查看答案和解析>>

科目:高中数学 来源:2017届河北衡水中学高三上学期第二次调研数学(理)试卷(解析版) 题型:选择题

已知函数,在处取得极大值,记,程序框图如图所示,若输出的结果,则判断框中可以填人的关于的判断条件是( )

A.? B.? C.? D.

查看答案和解析>>

科目:高中数学 来源:2017届河北衡水中学高三上学期第二次调研数学(理)试卷(解析版) 题型:选择题

已知,若不等式恒成立,则的最大值为( )

A. B. C. D.

查看答案和解析>>

科目:高中数学 来源:2017届河北衡水中学高三上学期第二次调研数学(文)试卷(解析版) 题型:解答题

已知数列的前项和为,向量,满足条件.

(1)求数列的通项公式;

(2)设函数,数列满足条件.

①求数列的通项公式;

②设数列的前项和为.

查看答案和解析>>

科目:高中数学 来源:2017届河北衡水中学高三上学期第二次调研数学(文)试卷(解析版) 题型:选择题

已知数列满足,且,若函数,记,则数列的前项和为( )

A. B. C. D.

查看答案和解析>>

科目:高中数学 来源:2017届湖北黄冈中学高三上学期周末测试9.10数学试卷(解析版) 题型:填空题

如图,是边长为的正三角形,是以为圆心,半径为1的圆上任意一点,则的取值范围是_____________.

查看答案和解析>>

科目:高中数学 来源:2017届甘肃武威二中高三上学期月考一数学(理)试卷(解析版) 题型:解答题

已知定义在上的函数的图象关于原点对称,且函数上为减函数.

(1)证明:当时,

(2)若,求实数的取值范围.

查看答案和解析>>

同步练习册答案