精英家教网 > 高中数学 > 题目详情

抛物线的焦点为,已知点为抛物线上的两个动点,且满足.过弦的中点作抛物线准线的垂线,垂足为,则的最大值为(   )

A.                B.              C.                 D.  

 

【答案】

A

【解析】

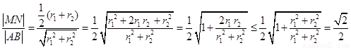
试题分析:设,则

考点:1、抛物线的焦点、准线;2、重要不等式;3、梯形的中位线;4、勾股定理

 

练习册系列答案
相关习题

科目:高中数学 来源: 题型:

(1)直线l与抛物线y2=8x交于A,B两点,且l经过抛物线的焦点F,已知A(8,8),则线段AB的中点到准线的距离为
25
4
25
4

(2)已知A(4,1,3),B(2,3,1),C(3,7,-5),点P(x,-1,3)在平面ABC内,则x=
11
11

查看答案和解析>>

科目:高中数学 来源:2014届河南省安阳市高三上学期调研测试理科数学试卷(解析版) 题型:选择题

抛物线的焦点为,已知点为抛物线上的两个动点,且满足.过弦的中点作抛物线准线的垂线,垂足为,则的最大值为(    )

A.                B.              C.                 D.  

 

查看答案和解析>>

科目:高中数学 来源:不详 题型:解答题

(1)直线l与抛物线y2=8x交于A,B两点,且l经过抛物线的焦点F,已知A(8,8),则线段AB的中点到准线的距离为______
(2)已知A(4,1,3),B(2,3,1),C(3,7,-5),点P(x,-1,3)在平面ABC内,则x=______.

查看答案和解析>>

科目:高中数学 来源: 题型:

探照灯反射镜的轴截面是抛物线的一部分,光源位于抛物线的焦点处,已知灯口的直径为60 cm,灯深40 cm,则抛物线的标准方程可能是(    )

A.y2=x                        B.y2=x

C.x2=y                      D.x2=y

查看答案和解析>>

同步练习册答案