精英家教网 > 高中数学 > 题目详情

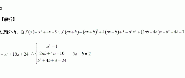
已知a,b为常数,若f(x)=x2+4x+3,f(ax+b)=x2+10x+24,则5a﹣b=____________

练习册系列答案
相关习题

科目:高中数学 来源:2015-2016学年广东东华高中高一上学期前段段考数学试卷(解析版) 题型:解答题

(本小题满分14分)已知

(1)求

(2)画出的图像;

(3)若,问为何值时,方程没有根?有一个根?两个根?

查看答案和解析>>

科目:高中数学 来源:2015-2016学年河北省高一10月月考数学试卷(解析版) 题型:解答题

(12分)设集合A={1,-2,a2-1},B={1,a2-3a,0}.且A=B,

(1)求a的值.

(2)判断函数f(x)=x+在[1,+∞)的单调性,并用定义加以证明.

查看答案和解析>>

科目:高中数学 来源:2015-2016学年广东省英德市高一上学期第一次月考数学试卷(解析版) 题型:解答题

(本小题满分10分)解下列的方程、方程组及不等式组:

(1)

(2)

查看答案和解析>>

科目:高中数学 来源:2015-2016学年广东省普宁市高二上期中考试理科数学试卷(解析版) 题型:填空题

命题“”的否定为_______

查看答案和解析>>

科目:高中数学 来源:2015-2016学年广东省高一上学期期中考试数学试卷(解析版) 题型:填空题

已知f (x)是定义在上的奇函数,当时,f (x)的图象如图所示,那么f (x)的值域是

查看答案和解析>>

科目:高中数学 来源:2015-2016学年广东省高二上学期期中考试文科数学试卷(解析版) 题型:选择题

在区间上随机地取值,则方程有实根的概率是( )

A. B. C. D.

查看答案和解析>>

科目:高中数学 来源:2015-2016学年安徽省阜阳市高二上第一次调研考文科数学试卷(解析版) 题型:选择题

设y=x2+2x+5+,则此函数的最小值为( )

A. B.2 C. D.以上均不对

查看答案和解析>>

科目:高中数学 来源:2016届福建省高三第一次月考文科数学试卷(解析版) 题型:选择题

已知向量a=(2,4),b=(-1,1),则2a+b等于( )

A.(5,7) B.(5,9) C.(3,7) D.(3,9)

查看答案和解析>>

同步练习册答案