精英家教网 > 高中数学 > 题目详情

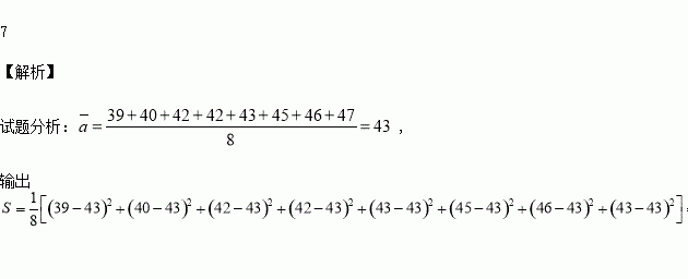
对一位运动员的心脏跳动检测了8次,得到如下表所示的数据:

检测次数

1

2

3

4

5

6

7

8

监测数据ai(次\分钟)

39

40

42

42

43

45

46

47

上述数据的统计分析中,一部分计算见如右图所示的程序框图(其中是这8个数据的平均数),则输出的的值是________

练习册系列答案
相关习题

科目:高中数学 来源:2015-2016学年四川省德阳市高一10月月考数学试卷(解析版) 题型:填空题

设函数,则=___ .

查看答案和解析>>

科目:高中数学 来源:2015-2016学年广东省英德市高一上学期第一次月考数学试卷(解析版) 题型:解答题

(本小题满分13分)

已知二次函数满足

(1)求的解析式;

(2)画的图象;

(3)求的单调区间,并写出其值域。

查看答案和解析>>

科目:高中数学 来源:2015-2016学年广东省高一上学期期中考试数学试卷(解析版) 题型:解答题

(本小题满分12分)

已知全集,集合

求:(1)

(2)

(3)若,求实数的范围.

查看答案和解析>>

科目:高中数学 来源:2015-2016学年广东省高二上学期期中考试文科数学试卷(解析版) 题型:选择题

两圆的位置关系是( )

A.外离 B.外切 C.相交 D.内切

查看答案和解析>>

科目:高中数学 来源:2015-2016学年安徽省高一上学期第一次月考数学试卷(解析版) 题型:填空题

表示三个数中的最小值,设,则的最大值为________.

查看答案和解析>>

科目:高中数学 来源:2015-2016学年安徽省阜阳市高二上第一次调研考文科数学试卷(解析版) 题型:选择题

,则下列代数式中值最大的是( )

A. B.

C. D.

查看答案和解析>>

科目:高中数学 来源:2016届山东师大附中高三上学期二模文科数学试卷(解析版) 题型:选择题

中,点E为AB边的中点,点F为边AC的中点,BF交CE于点G,若等于( )

A. B.1 C. D.

查看答案和解析>>

科目:高中数学 来源:2015-2016学年四川成都七中高二10月段考文科数学试卷(解析版) 题型:填空题

己知圆,及

轴上动点,当最大时,点坐标为

②过任作一条直线,与圆交于,则

③过任作一条直线,与圆交于,则成立

④任作一条直线与圆交于,则仍有

上述说法正确的是

查看答案和解析>>

同步练习册答案