精英家教网 > 高中数学 > 题目详情

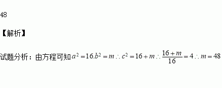
若双曲线的离心率e=2,则m=___________.

练习册系列答案
相关习题

科目:高中数学 来源:2015-2016学年山东省高二下期末理科数学试卷(解析版) 题型:解答题

设函数,其中

(Ⅰ)求的极大值;

(Ⅱ)当时,若直线与函数上的图象有交点,求实数的取值范围;

(Ⅲ)当时,试证明:

查看答案和解析>>

科目:高中数学 来源:2015-2016学年黑龙江鹤岗一中高二下期末文科数学试卷(解析版) 题型:选择题

已知函数.若方程有两个不相等的实根,则实数的取值范围是( )

A. B. C. D.

查看答案和解析>>

科目:高中数学 来源:2015-2016学年江苏省淮安市高二下期中理科数学试卷(解析版) 题型:填空题

若椭圆的焦点在x轴上,过点(1,)作圆的切线,切点分别为A、B,直线AB恰好经过椭圆的右焦点和上顶点,则椭圆方程是___________.

查看答案和解析>>

科目:高中数学 来源:2015-2016学年江苏省淮安市高二下期中理科数学试卷(解析版) 题型:填空题

观察下列等式:

;…,根据这些等式反映的结果,可以得出一个关于自然数n的等式,这个等式可以表示为_____________.

查看答案和解析>>

科目:高中数学 来源:2015-2016学年福建省高二下期中文科数学试卷(解析版) 题型:解答题

(Ⅰ)求函数的单调区间;

(Ⅱ)若当恒成立,求的取值范围。

查看答案和解析>>

科目:高中数学 来源:2015-2016学年福建省高二下期中文科数学试卷(解析版) 题型:选择题

已知定义在R上的可导函数f(x)的导函数为f′(x),满足f′(x)<f(x),且f(x+2)为偶函数,f(4)=1,则不等式f(x)<ex的解集为( )

A.(-2,+∞) B.(0,+∞) C.(1,+∞) D.(4,+∞)

查看答案和解析>>

科目:高中数学 来源:2015-2016学年福建省高二下期中理科数学试卷(解析版) 题型:填空题

一个兴趣学习小组由12男生6女生组成,从中随机选取3人作为领队,记选取的3名领队中男生的人数为,则的期望=

查看答案和解析>>

科目:高中数学 来源:2015-2016学年江西金溪一中高一下第二次月考理科数学卷(解析版) 题型:解答题

已知圆轴相切,圆心在直线上,且被直线截得的弦长为,求圆的方程.

查看答案和解析>>

同步练习册答案