精英家教网 > 高中数学 > 题目详情

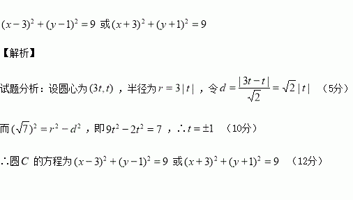
已知圆轴相切,圆心在直线上,且被直线截得的弦长为,求圆的方程.

练习册系列答案
相关习题

科目:高中数学 来源:2015-2016学年江苏省淮安市高二下期中理科数学试卷(解析版) 题型:填空题

若双曲线的离心率e=2,则m=___________.

查看答案和解析>>

科目:高中数学 来源:2015-2016学年福建省高二下期中理科数学试卷(解析版) 题型:选择题

将5本不同的书全发给4名同学,每名同学至少有一本书的概率是( )

A. B. C. D.

查看答案和解析>>

科目:高中数学 来源:2015-2016学年安徽省安庆市六校高二下期中文科数学试卷(解析版) 题型:选择题

已知直线l的极坐标方程为2ρsin (θ-)=,点A的极坐标为,则点A到直线l的距离为( )

A. B. C. D.

查看答案和解析>>

科目:高中数学 来源:2015-2016学年安徽省安庆市六校高二下期中文科数学试卷(解析版) 题型:选择题

在吸烟与患肺病这两个分类变量的计算中,下列说法正确的是( )

A.若k2的观测值为6.635,我们有99%的把握认为吸烟与患肺病有关系,那么在100个吸烟的人中必有99人患有肺病;

B.从独立性检验可知有99%的把握认为吸烟与患肺病有关系时,我们说某人吸烟,那么他有99%的可能患有肺病;

C.若从统计量中求出有95% 的把握认为吸烟与患肺病有关系,是指有5% 的可能性使得推判出现错误;

D.以上三种说法都不正确.

查看答案和解析>>

科目:高中数学 来源:2015-2016学年江西金溪一中高一下第二次月考理科数学卷(解析版) 题型:填空题

满足约束条件,则的最大值为 .

查看答案和解析>>

科目:高中数学 来源:2015-2016学年江西金溪一中高一下第二次月考理科数学卷(解析版) 题型:选择题

直线与直线垂直,垂足为,则的值为( )

A. B. C. D.

查看答案和解析>>

科目:高中数学 来源:2016届陕西省高三下第六次模拟理科数学试卷(解析版) 题型:填空题

已知数列是公差为整数的等差数列,前项和为,且成等比数列,则数列的前10项和为______.

查看答案和解析>>

科目:高中数学 来源:2015-2016学年浙江金华、温州、台州三市部分学校高一下期中数学卷(解析版) 题型:解答题

(1)求平行于直线3x+4y-12=0,且与它的距离是7的直线的方程;

(2)求垂直于直线x+3y-5=0, 且与点P(-1,0)的距离是的直线的方程.

查看答案和解析>>

同步练习册答案