精英家教网 > 高中数学 > 题目详情
已知点(1,)是函数f(x)=ax(a>0),且a≠1的图象上一点,
等比数列{an}的前n项和为f(n)﹣c,数列{bn}(bn>0)的首项为c,
且前n项和Sn满足Sn﹣Sn﹣1=+(n≥2).
(1)求数列{an}和{bn}的通项公式;
(2)若数列{}前n项和为Tn,问Tn的最小正整数n是多少?

解:(1)由已知f(1)=a=,∴f(x)=
等比数列{an}的前n项和为f(n)﹣c=c,
∴a1=f(1)=﹣c,a2=[f(2)﹣c]﹣[f(1)﹣c]=﹣,a3=[f(3)﹣c]﹣[f(2)﹣c]=﹣
数列{an}是等比数列,应有=q,解得c=1,q=
∴首项a1=f(1)=﹣c=
∴等比数列{an}的通项公式为=
∵Sn﹣Sn﹣1==(n≥2)

又bn>0,>0,∴=1;
∴数列{ }构成一个首项为1,公差为1的等差数列,∴=1+(n﹣1)×1=n    
         ∴Sn=n2 当n=1时,b1=S1=1,
当n≥2时,bn=Sn﹣Sn﹣1=n2﹣(n﹣1)2=2n﹣1
又n=1时也适合上式,∴{bn}的通项公式bn=2n﹣1.
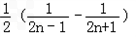
(2)==
==
,得
故满足的最小正整数为112.

练习册系列答案
相关习题

科目:高中数学 来源: 题型:

已知点A(1,
1
3
)
是函数f(x)=ax(a>0且a≠1)的图象上一点,等比数列an的前n项和为f(n)-c,数列bn(bn>0)的首项为c,且前n项和Sn满足Sn-Sn-1=
Sn
+
Sn-1
(n≥2).
(1)求数列{an}与{bn}的通项公式.
(2)若数列{
1
bnbn+1
}
的前n项和为Tn,问满足Tn
1000
2011
的最小整数是多少?
(3)若Cn=-
2bn
a n
,求数列Cn的前n项和Pn

查看答案和解析>>

科目:高中数学 来源:2015届辽宁实验中学分校高二上学期期中考试文科数学试卷(解析版) 题型:解答题

已知点(1,)是函数)的图象上一点,等比数列的前项和为,数列的首项为,且前项和满足=+).

(1)求数列的通项公式;

(2)求数列{项和为.

 

查看答案和解析>>

科目:高中数学 来源:2012-2013学年广东省深圳市南头中学高二(上)第一次考试数学试卷(解析版) 题型:解答题

已知点(1,)是函数f(x)=ax(a>0),且a≠1)的图象上一点,等比数列{an}的前n项和为f(n)-c,数列{bn}(bn>0)的首项为c,且前n项和Sn满足Sn-Sn-1=+(n≥2).
(1)求数列{an}和{bn}的通项公式;
(2)若数列{}前n项和为Tn,问Tn的最小正整数n是多少?

查看答案和解析>>

科目:高中数学 来源:2012-2013学年福建师大附中高三(上)期中数学试卷(文科)(解析版) 题型:解答题

已知点(1,)是函数f(x)=ax(a>0),且a≠1)的图象上一点,等比数列{an}的前n项和为f(n)-c,数列{bn}(bn>0)的首项为c,且前n项和Sn满足Sn-Sn-1=+(n≥2).
(1)求数列{an}和{bn}的通项公式;
(2)若数列{}前n项和为Tn,问Tn的最小正整数n是多少?

查看答案和解析>>

科目:高中数学 来源:2013届河南省商丘市高二第一学期第二次月考数学试卷 题型:解答题

(本题满分12分) 已知点(1,)是函数)的图象上一点,等比数列的前项和为,数列的首项为,且前项和满足=+).

(1)求数列的通项公式;

(2)若数列{项和为,问>的最小正整数是多少?

 

查看答案和解析>>

同步练习册答案