精英家教网 > 高中数学 > 题目详情

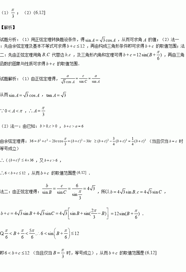
中,角所对的边分别为,已知

(1)求的大小;

(2)若,求的取值范围.

练习册系列答案
相关习题

科目:高中数学 来源:2015-2016学年江西省高二上期中文科数学试卷(解析版) 题型:选择题

已知椭圆C:的左右焦点为F1、F2,离心率为,过F2的直线l交C与A、B两点,若△AF1B的周长为,则C的方程为( )

A. B. C. D.

查看答案和解析>>

科目:高中数学 来源:2015-2016学年广东汕头金山中学高二上12月考理数学卷(解析版) 题型:选择题

已知抛物线的方程为,一条长度为的线段的两个端点在抛物线上运动,则线段的中点轴距离的最小值为 ( )

A、 B、 C、 D、

查看答案和解析>>

科目:高中数学 来源:2016届浙江省等高三第一次五校联考理科数学试卷(解析版) 题型:选择题

已知函数是定义域为的偶函数,当时,,若关于的方程),有且仅有6个不同实数根,则实数的取值范围是( )

A.

B.

C.

D.

查看答案和解析>>

科目:高中数学 来源:2015-2016学年山东潍坊中学高二上学期期末理科数学试卷(解析版) 题型:选择题

已知椭圆的左焦点为,右焦点为.若椭圆上存在一点,满足线段相切于以椭圆的短轴为直径的圆,切点为线段的中点,则该椭圆的离心率为( )

A. B. C. D.

查看答案和解析>>

科目:高中数学 来源:2014-2015学年江西省高一下学期期中数学试卷(解析版) 题型:选择题

已知满足,则下列选项中一定成立的是( )

A. B.

C. D.

查看答案和解析>>

科目:高中数学 来源:2016届广西河池高中高三上第五次月考文科数学试卷(解析版) 题型:选择题

运行如图所示的流程图,则输出的结果是( )

A. B. C. D.

查看答案和解析>>

科目:高中数学 来源:2016届宁夏银川一中高三上学期第四次月考理科数学试卷(解析版) 题型:填空题

对于实数,定义运算“”:,设,且关

的方程为恰有三个互不相等的实数根,则的取值范围是_____.

查看答案和解析>>

科目:高中数学 来源:2015-2016学年宁夏石嘴山三中高二上第一次月考数学试卷(解析版) 题型:选择题

把23化成二进制数是( )

A.10111 B.00110 C.10101 D.11101

查看答案和解析>>

同步练习册答案