精英家教网 > 高中数学 > 题目详情

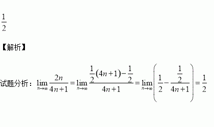
计算:

练习册系列答案
相关习题

科目:高中数学 来源:2015-2016学年福建省师大附高二上期中理科数学试卷(解析版) 题型:解答题

(本小题满分12分)

某小型餐馆一天中要购买两种蔬菜,蔬菜每公斤的单价分别为2元和3 元.根据需要,蔬菜至少要买6公斤,蔬菜至少要买4公斤,而且一天中购买这两种蔬菜的总费用不能超过60元.如果这两种蔬菜加工后全部卖出,两种蔬菜加工后每公斤的利润分别为2元和1元,餐馆如何采购这两种蔬菜使得利润最大,利润最大为多少元?

查看答案和解析>>

科目:高中数学 来源:2015-2016学年河南省英文学校高一上学期期中考试数学试卷(解析版) 题型:选择题

设函数 ,若是奇函数,则的值是( )

A. B. C. D.

查看答案和解析>>

科目:高中数学 来源:2015-2016学年甘肃省定西市高一上学期第一次月考数学试卷(解析版) 题型:选择题

下列函数中,在区间(0,+∞)上是增函数的是( )

A. B. C. D.

查看答案和解析>>

科目:高中数学 来源:2014-2015学年上海市高一下学期期末考试数学试卷(解析版) 题型:解答题

(本题满分12分) 本题共有2个小题,第1小题6分,第2小题6分

在上海自贸区的利好刺激下,公司开拓国际市场,基本形成了市场规模;自2014年1月以来的第个月(2014年1月为第一个月)产品的内销量、出口量和销售总量(销售总量=内销量出口量)分别为(单位:万件),依据销售统计数据发现形成如下营销趋势:(其中为常数,),已知万件,万件,万件.

(1)求的值,并写出满足的关系式;

(2)证明:逐月递增且控制在2万件内.

查看答案和解析>>

科目:高中数学 来源:2015-2016学年浙江省平湖市高一10月月考数学试卷(解析版) 题型:解答题

(本题8分)设二次,不等式的解集是

(1)求

(2)当函数的定义域是时,求函数的最大值

查看答案和解析>>

科目:高中数学 来源:2015-2016学年四川省高一上学期第一学月考数学试卷(解析版) 题型:填空题

给出下列两个集合间的对应:

(1)中的数的平方

(2)中的数的开方

(3)中的数的倒数

(4)中的数取绝对值

(5)A={1,2,3,4},B={2,4,6,8},f:n=2m;

其中是A到B的函数有__ ___个.

查看答案和解析>>

科目:高中数学 来源:2015-2016学年四川成都市六校高二上学期期中联考理科数学试卷(解析版) 题型:选择题

如图,正方体ABCD—A1B1C1D1的棱长为1,线段AC1上有两个动点E,F,且EF=.有下列四个结论:

①CE⊥BD;

②三棱锥E—BCF的体积为定值;

③△BEF在底面ABCD内的正投影是面积为定值的三角形;

④在平面ABCD内存在无数条与平面DEA1平行的直线,

其中正确结论的个数是

A.1 B.2 C.3 D.4

查看答案和解析>>

科目:高中数学 来源:2016届湖南省常德市高三上第五次月考文科数学试卷(解析版) 题型:选择题

若某几何体的三视图(单位:cm)如图所示,则该几何体的体积等于( )

A. B. C. D.

查看答案和解析>>

同步练习册答案