精英家教网 > 高中数学 > 题目详情

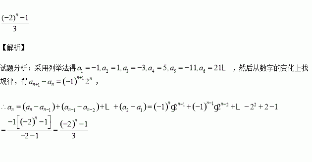
已知数列满足,若数列单调递减,数列单调递增,则数列的通项公式为

练习册系列答案
相关习题

科目:高中数学 来源:2016届河南省原名校高三上学期第一次联考理科数学试卷(解析版) 题型:填空题

已知点,则向量方向上的投影为

查看答案和解析>>

科目:高中数学 来源:2015-2016学年河南省英文学校高一上学期期中考试数学试卷(解析版) 题型:选择题

设函数 ,若是奇函数,则的值是( )

A. B. C. D.

查看答案和解析>>

科目:高中数学 来源:2015-2016学年甘肃省定西市高一上学期第一次月考数学试卷(解析版) 题型:选择题

计算的值为( )

A. B. C.6 D.

查看答案和解析>>

科目:高中数学 来源:2014-2015学年浙江省等三校高二上学期期中考试数学试卷(解析版) 题型:填空题

△ABC的内角A、B、C的对边分别为a、b、c,若c=2,b=3,A=120°,则a=________.

查看答案和解析>>

科目:高中数学 来源:2015-2016学年浙江省平湖市高一10月月考数学试卷(解析版) 题型:填空题

已知集合,集合,且,则的范围是____.

查看答案和解析>>

科目:高中数学 来源:2015-2016学年四川成都市六校高一上学期期中联考数学试卷(解析版) 题型:解答题

(本小题满分12分)设函数,若

(1)求函数的解析式;

(2)画出函数的图象,并指出函数的定义域、值域、单调区间.

查看答案和解析>>

科目:高中数学 来源:2015-2016学年江苏省泰州市姜堰区高一上学期期中考试数学试卷(解析版) 题型:填空题

已知函数,若,则的取值范围是

查看答案和解析>>

科目:高中数学 来源:2016届辽宁省大连市高三10月月考文科数学试卷(解析版) 题型:解答题

(本小题满分12分)某同学用“五点法”画函数在某一个周期内的图象时,列表并填入了部分数据,如下表:

(Ⅰ)请在答题卡上将上表数据补充完整,并直接写出函数的解析式;

(Ⅱ)将图象上所有点向左平行移动个单位长度,得到图象,求的图象离原点最近的对称中心.

查看答案和解析>>

同步练习册答案