精英家教网 > 高中数学 > 题目详情

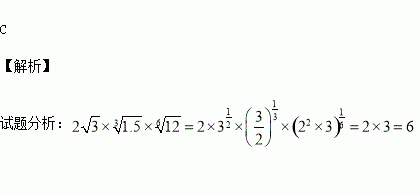
计算的值为( )

A. B. C.6 D.

练习册系列答案
相关习题

科目:高中数学 来源:2016届山东省高三第二次诊断性考试理科数学试卷(解析版) 题型:选择题

将函数的图象沿轴向左平移个单位后,得到一个偶函数的图象,则的最小值为

A. B. C. D.

查看答案和解析>>

科目:高中数学 来源:2015-2016学年湖北省枣阳市高二10月月考理科数学试卷(解析版) 题型:选择题

老师为研究男女同学数学学习的差异情况,对全班50名同学(其中男同学30名,女同学20名),采用分层抽样的方法抽取一个样本容量为10的样本进行研究,某女同学甲被抽取的概率为

A. B. C. D.

查看答案和解析>>

科目:高中数学 来源:2015-2016学年广东省英德市高二上学期第一次月考理科数学试卷(解析版) 题型:选择题

设椭圆的左、右焦点分别为,过作椭圆长轴的垂线交椭圆于点,若为等腰直角三角形,则椭圆的离心率为( )

A. B. C. D.

查看答案和解析>>

科目:高中数学 来源:2015-2016学年甘肃省定西市高一上学期第一次月考数学试卷(解析版) 题型:解答题

(本小题12分)已知函数

(1)在坐标系中作出函数的图象;

(2)若,求的取值集合;

查看答案和解析>>

科目:高中数学 来源:2014-2015学年浙江省等三校高二上学期期中考试数学试卷(解析版) 题型:填空题

已知锐角△ABC的面积为3,BC=4,CA=3,则角C的大小为_______.

查看答案和解析>>

科目:高中数学 来源:2014-2015学年上海市高一下学期期末考试数学试卷(解析版) 题型:填空题

已知数列满足,若数列单调递减,数列单调递增,则数列的通项公式为

查看答案和解析>>

科目:高中数学 来源:2015-2016学年四川成都市六校高一上学期期中联考数学试卷(解析版) 题型:选择题

设集合,则=( )

A. B. C. D.

查看答案和解析>>

科目:高中数学 来源:2015-2016学年福建厦门双十中学高二上期中理科数学试卷(解析版) 题型:填空题

不等式的解集为 (答案要求用集合形式表达)

查看答案和解析>>

同步练习册答案