精英家教网 > 高中数学 > 题目详情

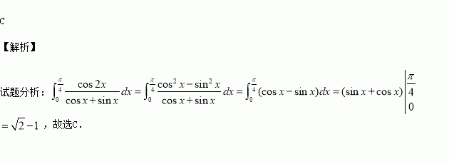
( )

A. B.

C. D.

练习册系列答案
相关习题

科目:高中数学 来源:2015-2016学年四川省高一上学期第一学月考数学试卷(解析版) 题型:选择题

设集合A=[0,),B=[,1],函数f(x)=,若x0∈A,且f[f(x0)]∈A,则x0的取值范围是( )

A.(0,] B.(] C.() D.[0,]

查看答案和解析>>

科目:高中数学 来源:2015-2016学年福建厦门双十中学高二上期中文科数学试卷(解析版) 题型:解答题

(本小题满分12分)

已知△ABC的内角A、B、C的对边分别为a,b,c,已知a=bcosC+csinB.

(1)求B;

(2)若b=2,求△ABC面积的最大值.

查看答案和解析>>

科目:高中数学 来源:2016届湖南省常德市高三上第五次月考文科数学试卷(解析版) 题型:选择题

过椭圆左焦点 作x轴的垂线交椭圆于点P,为右焦点,若 ,则椭圆的离心率为( )

A. B. C. D.

查看答案和解析>>

科目:高中数学 来源:2016届湖南省常德市高三上第五次月考理科数学试卷(解析版) 题型:选择题

是空间三条不同的直线,则下列命题正确的是( )

(A)

(B)

(C)共面

(D)共面

查看答案和解析>>

科目:高中数学 来源:2015-2016学年湖南师大附中高二上学期第三次检测数学卷(解析版) 题型:选择题

是两条不同的直线,是一个平面,则下列命题正确的是( )?

A.若,则

B.若,则

C.若,则

D.若,则

查看答案和解析>>

科目:高中数学 来源:2016届湖南省长沙市高三上学期月考五文科数学试卷(解析版) 题型:选择题

某学生在一门功课的22次考试中,所得分数如下茎叶图所示,此学生该门功课考试分数的极差与中位数之和为()

A.117 B.118 C.118.5 D.119.5

查看答案和解析>>

科目:高中数学 来源:2015-2016学年四川省雅安市高二11月月考文科数学试卷(解析版) 题型:选择题

下列命题中,正确的是( )

A.经过两条相交直线,有且只有一个平面.

B.经过一条直线和一点,有且只有一个平面.

C.若平面与平面相交,则它们只有有限个公共点.

D.若两个平面有三个公共点,则这两个平面重合.

查看答案和解析>>

科目:高中数学 来源:2015-2016学年吉林省高一上学期期末数学试卷(解析版) 题型:选择题

若幂函数单调递增,则实数m的取值范围是( )

(A) (B)

(C) (D)

查看答案和解析>>

同步练习册答案