精英家教网 > 高中数学 > 题目详情

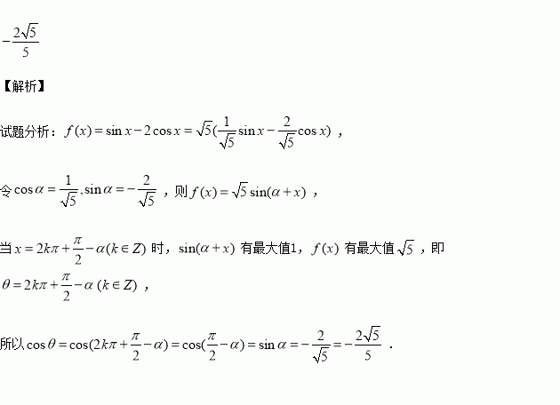
设当时,函数取得最大值,则________.

练习册系列答案
相关习题

科目:高中数学 来源:2015-2016学年四川省雅安市高二11月月考文科数学试卷(解析版) 题型:选择题

下列结论正确的是( )

A.当时,

B.当时,

C.当时,的最小值为2

D.当时,无最大值

查看答案和解析>>

科目:高中数学 来源:2015-2016学年吉林省高一上学期期末数学试卷(解析版) 题型:选择题

将函数的图象上每个点的横坐标缩短为原来的,纵坐标不变,再将所得图象向左平移个单位后,得到函数的图象,则函数的解析式为( )

(A) (B)

(C) (D)

查看答案和解析>>

科目:高中数学 来源:2015-2016学年福建三明一中高二上第二次月考理科数学卷(解析版) 题型:解答题

如图,正三棱柱的所有棱长都为2,中点。

(1)求证:

(2)求二面角的余弦值;

(3)求点到平面的距离。

查看答案和解析>>

科目:高中数学 来源:2016届重庆市高三12月月考理科数学试卷(解析版) 题型:填空题

已知的展开式中的系数为0,则________.

查看答案和解析>>

科目:高中数学 来源:2015-2016学年内蒙古巴彦淖尔一中高二上期中文科数学卷(解析版) 题型:解答题

斜率为2的直线经过抛物线的焦点,且与抛物线相交于两点,求线段的长.

查看答案和解析>>

科目:高中数学 来源:2015-2016学年内蒙古巴彦淖尔一中高二上期中理科数学卷(解析版) 题型:选择题

抛物线y2=4x的焦点为F,准线l交x轴于R,过抛物线上一点P(4,4),作PQ⊥l于Q,则梯形PQRF的面积是( )

A.12 B.14 C.16 D.18

查看答案和解析>>

科目:高中数学 来源:2016届上海市高三上12月月考理科数学试卷(解析版) 题型:填空题

(2015秋•上海校级月考)对于n∈N*,将n表示为n=a0×2k+a1×2k﹣1+a2×2k﹣2+…+ak﹣1×21+ak×20,i=0时,ai=1,当1≤i≤k时,ai为0或1,记I(n)为上述表示中ai为0的个数;例如4=1×22+0×21+0×20,11=1×23+0×22+1×21+1×20,故I(4)=2,I(11)=1;则2I(1)+2I(2)+…+2I(254)+2I(255)=

查看答案和解析>>

科目:高中数学 来源:2016届山东省高三上第二次诊考文科数学试卷(解析版) 题型:选择题

(2012•长春一模)设集合A={x||x|≤2,x∈R},B={y|y=﹣x2,﹣1≤x≤2},则∁R(A∩B)等于( )

A.R

B.(﹣∞,﹣2)∪(0.+∞)

C.(﹣∞,﹣1)∪(2,+∞)

D.φ

查看答案和解析>>

同步练习册答案