精英家教网 > 高中数学 > 题目详情

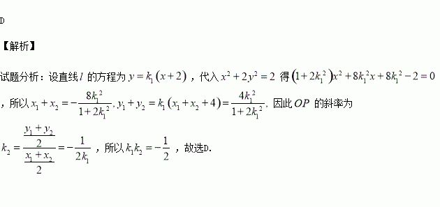
过点的直线与椭圆交于两点,设线段的中点为,若直线的斜率为,直线的斜率为,则等于( )

A. B. C. D.

练习册系列答案
相关习题

科目:高中数学 来源:2015-2016学年内蒙古赤峰二中高二上第二次月考理数学卷(解析版) 题型:填空题

为纯虚数,则实数a的值为 ______.

查看答案和解析>>

科目:高中数学 来源:2015-2016学年安徽省高二下期中理科数学试卷(解析版) 题型:填空题

已知,且,现给出如下结论:①;②;③;④其中正确结论的序号是

查看答案和解析>>

科目:高中数学 来源:2015-2016学年河北武邑中学高二下4.24周考文数学卷(解析版) 题型:解答题

分别为双曲线的左右项点,双曲线的实轴长为,焦点到渐近线的距离为.

(1)求双曲线的方程;

(2)已知直线与双曲线的右支交于两点,且在双曲线的右支上存在点使,求的值及点的坐标.

查看答案和解析>>

科目:高中数学 来源:2015-2016学年河北武邑中学高二下4.24周考文数学卷(解析版) 题型:填空题

已知所在平面内一点,,现将一粒黄豆随机撒在内,则黄豆落在内的概率是

查看答案和解析>>

科目:高中数学 来源:2015-2016学年河北武邑中学高二下4.24周考文数学卷(解析版) 题型:选择题

命题“” 为真命题的一个充分不必要条件是( )

A. B. C. D.

查看答案和解析>>

科目:高中数学 来源:2015-2016学年河北武邑中学高二下4.24周考理数学卷(解析版) 题型:解答题

已知函数处取得极值.

(1)求实数的值,并讨论的单调性;

(2)证明:对任意的正整数,不等式都成立.

查看答案和解析>>

科目:高中数学 来源:2015-2016学年河北武邑中学高二下4.24周考理数学卷(解析版) 题型:选择题

是虚数单位,复数( )

A. B. C. D.

查看答案和解析>>

科目:高中数学 来源:2015-2016学年河北石家庄一中高二下第二次月考理数学卷(解析版) 题型:选择题

下列说法正确的是( )

A.命题“若,则”的否命题为“若,则

B.命题“”的否定是“

C.命题“的必要不充分条件”为假命题

D.命题“若,则”的逆命题为假命题

查看答案和解析>>

同步练习册答案