精英家教网 > 高中数学 > 题目详情
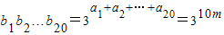
已知等比数列{bn}与数列{an}满足
(1)判断{an}是何种数列,并给出证明;
(2)若a8+a13=m,求b1b2…b20
【答案】分析:(1)设等比数列{bn}的公比为q,根据等比数列的通项公式,可得,两边取以3为底的对数,可得数列{an}的通项公式,从而得到数列{an}是以log3q为公差的等差数列.
(2)根据等差数列的性质,得到a1+a20=a8+a13=m,从而得到数列{an}的前20项的和为10(a1+a20)=10m,再由,得到b1b2…b20的值.
解答:解:(1)设等比数列{bn}的公比为q,

,可得an=a1+(n-1)log3q
∴an+1=a1+nlog3q,an+1-an=log3q(常数),
∴数列{an}是以log3q为公差的等差数列.
(2)∵a8+a13=m,
∴由等差数列性质得a1+a20=a8+a13=m
∴数列{an}的前20项的和为:

点评:本题以指数、对数运算为载体,考查了等差数列的定义与性质、等比数列的通项公式和等差数列与等比数列间的关系等知识点,属于基础题.
练习册系列答案
相关习题

科目:高中数学 来源: 题型:

已知数列{an}满足2an+1=an+an+2(n=1,2,3,…),它的前n项和为Sn,且a3=5,S6=36.
(1)求an
(2)已知等比数列{bn}满足b1+b2=1+a,b4+b5=a3+a4(a≠-1),设数列{an•bn}的前n项和为Tn,求Tn

查看答案和解析>>

科目:高中数学 来源: 题型:

已知等比数列{bn},公比q>0,b3=8,前n项和Tn满足T3=14,且数列{an}满足an+1-2log2bn=0(n∈N*
(1)求{an},{bn}的通项公式;
(2)数列{cn}满足cn=an•bn,求数列{cn}的前n项和Sn

查看答案和解析>>

科目:高中数学 来源: 题型:

已知等比数列{bn}与数列{an}满足bn=3an,n∈N*
(1)判断{an}是何种数列,并给出证明;
(2)若a8+a13=m,求b1b2…b20

查看答案和解析>>

科目:高中数学 来源: 题型:

(1)已知等差数列{an}满足a3+a6=9,a1a8=8,a1>a8,求数列{an}的前n项和Sn
(2)已知等比数列{bn}满足b3=2,b2+b4=
203
,求{bn}的通项公式.

查看答案和解析>>

科目:高中数学 来源: 题型:

已知等比数列{bn}与数列{an}满足bn=3an(n∈N*)判断{an}是何种数列,并给出证明.

查看答案和解析>>

同步练习册答案