精英家教网 > 高中数学 > 题目详情

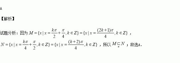
已知集合,则( )

A. B. C. D.

练习册系列答案
相关习题

科目:高中数学 来源:2015-2016学年河北省高二下期中理科数学试卷(解析版) 题型:选择题

一张银行储蓄卡的密码由6位数字组成,某人在自动取款机中取款时,忘记了最后一位密码,只记得最后一位是奇数,则他不超过两次就按对密码的概率是( )

A. B. C. D.

查看答案和解析>>

科目:高中数学 来源:2015-2016学年安徽黄山屯溪一中高二下期中数学试卷(解析版) 题型:选择题

已知函数,若存在唯一的零点,且,则的取值范围是( )

A. B. C. D.

查看答案和解析>>

科目:高中数学 来源:2015-2016学年湖南长郡中学高一上第三次检测数学试卷(解析版) 题型:填空题

已知函数是奇函数,则 .

查看答案和解析>>

科目:高中数学 来源:2015-2016学年湖南长郡中学高一上第三次检测数学试卷(解析版) 题型:选择题

,则的终边在( )

A.轴右侧 B.轴左侧 C.轴上方 D.轴下方

查看答案和解析>>

科目:高中数学 来源:2015-2016学年湖北省高二下期中数学试卷(解析版) 题型:解答题

己知命题:在时,不等式恒成立;命题:存在使得关于的不等式成立,若命题“”是真命题,求实数的取值范围.

查看答案和解析>>

科目:高中数学 来源:2015-2016学年湖北省高二下期中数学试卷(解析版) 题型:选择题

已知函数,若对任意两个不等的正数,都有成立,则实数的取值范围是( )

A. B. C. D.以上答案均不对

查看答案和解析>>

科目:高中数学 来源:2016年全国普通高等学校招生统一考试理科数学(上海卷参考版) 题型:选择题

已知无穷等比数列的公比为,前n项和为,且.下列条件中,使得恒成立的是( )

(A) (B)

(C) (D)

查看答案和解析>>

科目:高中数学 来源:2016年全国普通高等学校招生统一考试理科数学(山东卷参考版) 题型:解答题

已知

(Ⅰ)讨论的单调性;

(Ⅱ)当时,证明对于任意的成立.

查看答案和解析>>

同步练习册答案