精英家教网 > 高中数学 > 题目详情

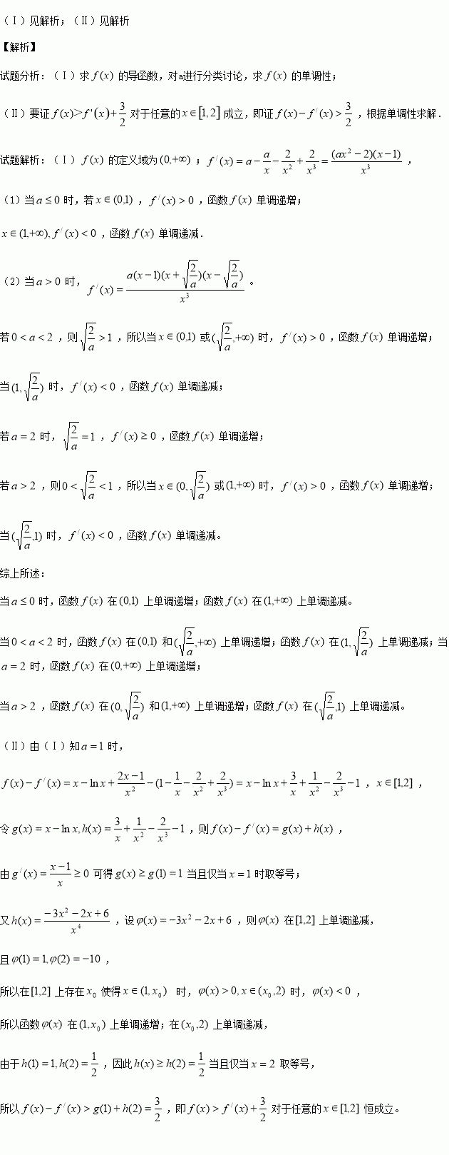
已知

(Ⅰ)讨论的单调性;

(Ⅱ)当时,证明对于任意的成立.

练习册系列答案
相关习题

科目:高中数学 来源:2015-2016学年湖南长郡中学高一上第三次检测数学试卷(解析版) 题型:选择题

已知集合,则( )

A. B. C. D.

查看答案和解析>>

科目:高中数学 来源:2016年全国普通高等学校招生统一考试理科数学(上海卷参考版) 题型:填空题

已知点在函数的图像上,则

查看答案和解析>>

科目:高中数学 来源:2016年全国普通高等学校招生统一考试文科数学(上海卷参考版) 题型:填空题

某食堂规定,每份午餐可以在四种水果中任选两种,则甲、乙两同学各自所选的两种水果相同的概率为______.

查看答案和解析>>

科目:高中数学 来源:2016年全国普通高等学校招生统一考试文科数学(上海卷参考版) 题型:填空题

某次体检,6位同学的身高(单位:米)分别为1.72,1.78,1.75,1.80,1.69,1.77则这组数据的中位数是_________(米).

查看答案和解析>>

科目:高中数学 来源:2016年全国普通高等学校招生统一考试理科数学(山东卷参考版) 题型:填空题

已知函数 其中,若存在实数b,使得关于x的方程f(x)=b有三个不同的根,则m的取值范围是________________.

查看答案和解析>>

科目:高中数学 来源:2016年全国普通高等学校招生统一考试理科数学(山东卷参考版) 题型:选择题

已知非零向量m,n满足4│m│=3│n│,cos<m,n>=.若n⊥(tm+n),则实数t的值为

(A)4 (B)–4 (C) (D)–

查看答案和解析>>

科目:高中数学 来源:2016年全国普通高等学校招生统一考试文科数学(山东卷参考版) 题型:填空题

观察下列等式:

……

照此规律,_________.

查看答案和解析>>

科目:高中数学 来源:2016年全国普通高等学校招生统一考试文科数学(四川卷参考版) 题型:填空题

从2、3、8、9任取两个不同的数值,分别记为a、b,则为整数的概率=

查看答案和解析>>

同步练习册答案