精英家教网 > 高中数学 > 题目详情

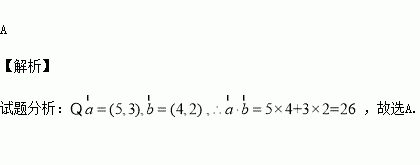
已知( )

A .26 B.22 C.14 D.2

练习册系列答案
相关习题

科目:高中数学 来源:2016届山东省高三最后一模文科数学试卷(解析版) 题型:选择题

函数的图象大致为( )

查看答案和解析>>

科目:高中数学 来源:2015-2016学年江西玉山一中高一下第三次考试文科数学卷(解析版) 题型:选择题

已知一扇形的周长为20,当这个扇形的面积最大时,半径的值为()

A.4cm B.5cm C.6cm D.7cm

查看答案和解析>>

科目:高中数学 来源:2015-2016学年江西玉山一中高一下第三次考试理科数学卷(解析版) 题型:填空题

函数的单调递增区间为_________.

查看答案和解析>>

科目:高中数学 来源:2015-2016学年江西玉山一中高一下第三次考试理科数学卷(解析版) 题型:选择题

已知数列,其通项公式an=3n-18,则其前项和取最小值时的值为( )

A.4 B.5或6 C.6 D.5

查看答案和解析>>

科目:高中数学 来源:205-2016学年吉林省高二下期中理科数学试卷(解析版) 题型:解答题

在棱长为的正方体中,分别为的中点.

(1)求

(2)求直线所成角的余弦值;

(3)求二面角的余弦值.

查看答案和解析>>

科目:高中数学 来源:205-2016学年吉林省高二下期中理科数学试卷(解析版) 题型:选择题

已知的值为( )

A.39 B.310 C.311 D.312

查看答案和解析>>

科目:高中数学 来源:2016届湖南长沙长郡中学高考原创十一文科数学试卷(解析版) 题型:解答题

在四棱锥中, 平面的中点,.

(1)求证:平面

(2)若的中点,求到平面的距离.

查看答案和解析>>

科目:高中数学 来源:2015-2016学年湖北省高二5月月考理科数学试卷(解析版) 题型:解答题

已知函数的最小值为2.

(1)求实数的值;

(2)若,求不等式的解集.

查看答案和解析>>

同步练习册答案