精英家教网 > 高中数学 > 题目详情

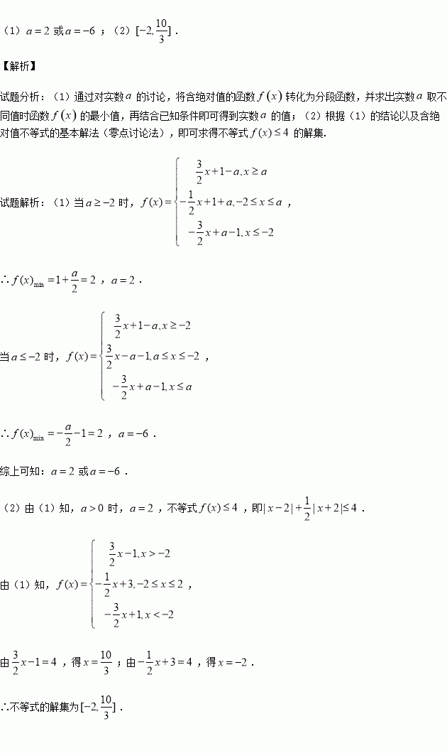
已知函数的最小值为2.

(1)求实数的值;

(2)若,求不等式的解集.

练习册系列答案
相关习题

科目:高中数学 来源:2015-2016学年江西玉山一中高一下第三次考试理科数学卷(解析版) 题型:选择题

已知( )

A .26 B.22 C.14 D.2

查看答案和解析>>

科目:高中数学 来源:2016届湖南长沙长郡中学高考原创十一文科数学试卷(解析版) 题型:选择题

已知双曲线的—条渐近线方程为,则此双曲线的离心率为( )

A. B. C. D.

查看答案和解析>>

科目:高中数学 来源:2015-2016学年湖北省高二5月月考文科数学试卷(解析版) 题型:选择题

设函数在区间上的导函数为在区间上的导函数为,若在区间恒成立,则称函数在区间上为“凸函数”. 已知,若对任意的实数满足时,函数在区间上为“凸函数”,则的最大值为( )

A.4 B.3 C.2 D.1

查看答案和解析>>

科目:高中数学 来源:2015-2016学年湖北省高二5月月考文科数学试卷(解析版) 题型:选择题

已知为等差数列,,则( )

A.10 B.20 C.40 D.80

查看答案和解析>>

科目:高中数学 来源:2015-2016学年湖北省高二5月月考理科数学试卷(解析版) 题型:解答题

已知命题:成立;命题双曲线的离心率,若为假命题,求实数的取值范围.

查看答案和解析>>

科目:高中数学 来源:2015-2016学年湖北省高二5月月考理科数学试卷(解析版) 题型:选择题

已知的定义域为的导函数,且满足,则不等式的解集是( )

A. B. C. D.

查看答案和解析>>

科目:高中数学 来源:2015-2016学年广东惠州一中高二下期中文科数学试卷(解析版) 题型:解答题

等差数列中,,前6项的和

(1)求数列的通项公式

(2)设,求

查看答案和解析>>

科目:高中数学 来源:2016届安徽省高三下组卷二理科数学试卷(解析版) 题型:解答题

如图,内切于,切点分别为点,连接于点,直线的延长线于点.

(1)求证:圆心在直线上;

(2)求证:点是线段的中点.

查看答案和解析>>

同步练习册答案