精英家教网 > 高中数学 > 题目详情

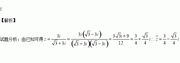
若复数z满足()z=3为虚数单位),则z的共轭复数为( )

A. B.

C. D.

练习册系列答案
相关习题

科目:高中数学 来源:2017届河北衡水中学高三上学期一调考试数学(理)试卷(解析版) 题型:选择题

如图,网格纸上小正方形的边长为,粗线或虚线画出某几何体的三视图,该几何体的体积为( )

A. B. C. D.

查看答案和解析>>

科目:高中数学 来源:2015-2016学年辽宁瓦房店市高二下期末数学(理)试卷(解析版) 题型:选择题

若执行下面的程序框图,则输出的值是 ( )

A.7 B.6 C.5 D. 4

查看答案和解析>>

科目:高中数学 来源:2015-2016学年辽宁省协作校高二下期末数学(文)试卷(解析版) 题型:选择题

已知全集M={1,m,},集合N={x|x2-2x-3=0},若M∩N={3},求M∪N。

查看答案和解析>>

科目:高中数学 来源:2015-2016学年辽宁省协作校高二下期末数学(文)试卷(解析版) 题型:选择题

已知函数,若f(-3)<f(4)则不等式f(x2-2x)≤f(3)的解集为( )

A.(-1,3) B.[-1,3]

C.(-∞ ,-1)∪(3,+∞) D.[-1,0)∪(0,3]

查看答案和解析>>

科目:高中数学 来源:2015-2016学年辽宁省协作校高二下期末数学(理)试卷(解析版) 题型:解答题

选修4-5:不等式选讲

设函数的最大值为

(1)求

(2)若,求的最大值.

查看答案和解析>>

科目:高中数学 来源:2015-2016学年辽宁省协作校高二下期末数学(理)试卷(解析版) 题型:解答题

的展开式中,第二、三、四项的二项式系数成等差数列.

(1)求的值;

(2)此展开式中是否有常数项,为什么?

查看答案和解析>>

科目:高中数学 来源:2015-2016学年湖南娄底市高一下学期期末数学试卷(解析版) 题型:解答题

某公司有一批专业技术人员,对他们进行年龄状况和接受教育程度(学历)的调查,其结果(人数分布)如表:

学历

35岁以下

35~50岁

50岁以上

本科

80

30

20

研究生

x

20

y

(1)用分层抽样的方法在35~50岁年龄段的专业技术人员中抽取一个容量为5的样本,将该样本看成一个总体,从中任取2人,求至少有1人的学历为研究生的概率;

(2)在这个公司的专业技术人员中按年龄状况用分层抽样的方法抽取N个人,其中35岁以下48人,50岁以上10人,再从这N个人中随机抽取出1人,此人的年龄为50岁以上的概率为,求x、y的值.

查看答案和解析>>

科目:高中数学 来源:2016届陕西省高三高考全真模拟(五)考试数学(文)试卷(解析版) 题型:选择题

已知平面向量,则向量( )

A. B.

C. D.

查看答案和解析>>

同步练习册答案