精英家教网 > 高中数学 > 题目详情

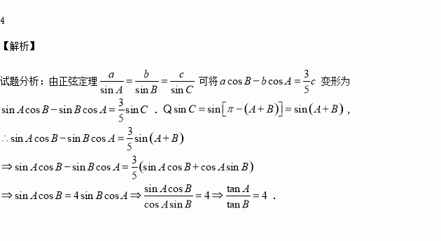
在的内角的对边分别为且满足,则

练习册系列答案
相关习题

科目:高中数学 来源:2016届广东省广州市荔湾区高三上学期调研测试一文科数学试卷(解析版) 题型:选择题

已知抛物线为常数)的准线经过点,则抛物线的焦点坐标为

A. B. C. D.

查看答案和解析>>

科目:高中数学 来源:2015-2016学年河北衡水冀州中学高二上学期第一次月考文科数学试卷(解析版) 题型:解答题

(10分)已知函数的图象过点

(1)求实数的值;

(2)求函数f(x)的最小正周期及最大值.

查看答案和解析>>

科目:高中数学 来源:2016届云南师范大学附属中学高考适应性月考卷一理科数学试卷(解析版) 题型:解答题

(本小题满分12分)某毕业生参加人才招聘会,分别向甲、乙、丙三个公司投递了个人简历,假定该毕业生得到甲公司面试的概率为,得到乙公司和丙公司面试的概率均为p,,且三个公司是否让其面试是相互独立的.记为该毕业生得到面试的公司个数,若P(=0)=

(1)求p的值:

(2)求随机变量的分布列及数学期望.

查看答案和解析>>

科目:高中数学 来源:2015-2016学年河北邯郸曲周县一中高二上学期第二次月考理科数学卷(解析版) 题型:选择题

椭圆上的点M到焦点F1的距离为2,N是MF1的中点,则|ON| (O为坐标原点)的值为( )

A 2 B 4 C 8 D

查看答案和解析>>

科目:高中数学 来源:2015-2016学年甘肃省张掖市高二上学期10月月考文科数学试卷(解析版) 题型:填空题

在三角形ABC中,A、B、C的对边分别为a,b,c记a=x,b=2,B=45°,若三角形ABC有两解,则x的取值范围是

查看答案和解析>>

科目:高中数学 来源:2015-2016学年辽宁沈阳东北育才学校高二上学期第一次作业数学试卷(解析版) 题型:选择题

函数的值域是 ( )

A. B. C. D.

查看答案和解析>>

科目:高中数学 来源:2014-2015学年江西省赣州市高一下学期期末考试数学试卷(解析版) 题型:选择题

已知点,若直线与线段相交,则的取值范围是

A. B. C. D.

查看答案和解析>>

科目:高中数学 来源:2014-2015学年东北三省等三校高三第一次模拟理科数学试卷(解析版) 题型:解答题

【选修4-4:坐标系与参数方程】

已知曲线C的极坐标方程是ρ=2cosθ,以极点为平面直角坐标系的原点,极轴为x轴的正半轴,建立平面直角坐标系,直线L的参数方程是(t为参数).

(1)求曲线C的直角坐标方程和直线L的普通方程;

(2)设点P(m,0),若直线L与曲线C交于A,B两点,且|PA|•|PB|=1,求实数m的值.

查看答案和解析>>

同步练习册答案