精英家教网 > 高中数学 > 题目详情
已知双曲线C的两条渐近线都过原点,且都以点A(,0)为圆心,1为半径的圆相切,双曲线的一个顶点A′与A点关于直线y=x对称.
(1)求双曲线C的方程;
(2)设直线l过点A,斜率为k,当0<k<1时,双曲线C的上支上有且仅有一点B到直线l的距离为,试求k的值及此时B点的坐标.
【答案】分析:(1)设双曲线的渐近线为y=kx,由d==1,解得k=±1,再由点A关于y=x对称点的坐标为(0,),能求出双曲线C的方程.
(2)设直线ly=k(x-)(0<k<1),依题意B点在平行的直线l′上,且l与l′间的距离为,设直线l′y=kx+m,应有,由此能求出k的值及此时B点的坐标.
解答:解:(1)设双曲线的渐近线为y=kx,由d==1,解得k=±1
即渐近线为y=±x,又点A关于y=x对称点的坐标为(0,
∴a==b,所求双曲线C的方程为x2-y2=2.
(2)设直线ly=k(x-)(0<k<1),
依题意B点在平行的直线l′上,且l与l′间的距离为
设直线l′y=kx+m,应有
化简得m2+2km=2②
把l′代入双曲线方程得(k2-1)x2+2mkx+m2-2=0,
由△=4m2k2-4(k2-1)(m2-2)=0
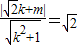
可得m2+2k2
②、③两式相减得k=m,代入③得m2=,解得m=,k=
此时x=,y=,故B(2).
点评:本题考查轨迹方程的求法和求k的值及此时B点的坐标.解题时要认真审题,注意挖掘题设中的隐含条件,灵活运用双曲线的性质,合理地进行等价转化.
练习册系列答案
相关习题

科目:高中数学 来源:重庆市高考真题 题型:解答题

已知以原点D为中心,F(,0)为右焦点的双曲线C的离心率,
(1)求双曲线C的标准方程及其渐近线方程;
(2)如图,已知过点M(x1,y1)的直线l1:x1x+4y1y=4与过点N(x2,y2)(其中x2≠x1)的直线l2:x2x+4y2y=4的交点E在双曲线C上,直线MN与两条渐近 线分别交于G、H两点,求△OGH的面积。

查看答案和解析>>

同步练习册答案