精英家教网 > 高中数学 > 题目详情
某商店投入38万元经销某种纪念品,经销时间共60天,为了获得更多的利润,商店将每天获得的利润投入到次日的经营中,市场调研表明,该商店在经销这一产品期间第n天的利润=(单位:万元,n∈N*),记第n天的利润率
bn=,例如b3=
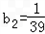
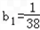
(1)求b1,b2的值;
(2)求第n天的利润率bn
(3)该商店在经销此纪念品期间,哪一天的利润率最大?并求该天的利润率.
解:(1)当n=1时,;当n=2时,
(2)当1≤n≤25时,a1=a2=…=﹣1==1.
=
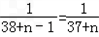
当26≤n≤60时,==,∴第n天的利润率
(3)当1≤n≤25时,是递减数列,此时bn的最大值为
当26≤n≤60时,(当且仅当n=,即n=50时,“=”成立).
又∵
∴n=1时,
练习册系列答案
相关习题

科目:高中数学 来源: 题型:

某商店投入38万元经销某种纪念品,经销时间共60天,为了获得更多的利润,商店将每天获得的利润投入到次日的经营中,市场调研表明,该商店在经销这一产品期间第n天的利润an=
1     1≤n≤25
1
25
n  26≤n≤60
(单位:万元,n∈N*),记第n天的利润率bn=
第n天的时间
前n天投入的资金总和
,例如b3=
a3
38+a1+a2

(1)求b1,b2的值;
(2)求第n天的利润率bn
(3)该商店在经销此纪念品期间,哪一天的利润率最大?并求该天的利润率.

查看答案和解析>>

科目:高中数学 来源: 题型:

某商店投入38万元经销某种纪念品,经销时间共60天,为了获得更多的利润,商店将每天获得的利润投入到次日的经营中,市场调研表明,该商店在经销这一产品期间第n天的利润an=
1,1≤n≤25
1
25
n,26≤n≤60
(单位:万元,n∈N*),记第n天的利润率bn=
第n天的利润
前n天投入的资金总和
,例如b3=
a3
38+a1+a2

(1)求b1,b2的值;
(2)求第n天的利润率bn

查看答案和解析>>

科目:高中数学 来源: 题型:

某商店投入38万元经销某种纪念品,经销时间共60天,为了获得更多的利润,商店将每天获得的利润投入到次日的经营中,市场调研表明,该商店在经销这一产品期间第天的利润(单位:万元,),记第天的利润率,例如

 求的值;

求第天的利润率

该商店在经销此纪品期间,哪一天的利润率最大?并求该天的利润率。

查看答案和解析>>

科目:高中数学 来源:2010年湖北省八校高三第二次联考数学(理) 题型:简答题

某商店投入38万元经销某种纪念品,经销时间共60天,为了获得更多的利润,商店将每天获得的利润投入到次日的经营中,市场调研表明,该商店在经销这一产品期间第天的利润(单位:万元,),记第天的利润率,例如

 1.求的值;

2.求第天的利润率

3.该商店在经销此纪品期间,哪一天的利润率最大?并求该天的利润率。

 

查看答案和解析>>

科目:高中数学 来源: 题型:

某商店投入38万元经销某种纪念品,经销时间共60天,为了获得更多的利润,商店将每天获得的利润投入到次日的经营中,市场调研表明,该商店在经销这一产品期间第天的利润 (单位:万元,),记第天的利润率,例如

(1)求的值;

(2)求第天的利润率;

(3)该商店在经销此纪念品期间,哪一天的利润率最大?并求该天的利润率.

查看答案和解析>>

同步练习册答案