精英家教网 > 高中数学 > 题目详情
已知函数f(x)=-x3+x2+b,g(x)=alnx.
(1)若f(x)在上的最大值为,求实数b的值;
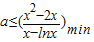
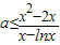
(2)若对任意x∈[1,e],都有g(x)≥-x2+(a+2)x恒成立,求实数a的取值范围;
(3)在(1)的条件下,设,对任意给定的正实数a,曲线y=F(x)上是否存在两点P、Q,使得△POQ是以O(O为坐标原点)为直角顶点的直角三角形,且此三角形斜边中点在y轴上?请说明理由.
【答案】分析:(1)求导函数,令f′(x)=0,确定函数的单调性与极值,从而可得函数的最大值,由此可求b的值;
(2)由g(x)≥-x2+(a+2)x,得恒成立,即,求出最小值,即可求得a的取值范围;
(3)由条件,,假设曲线y=F(x)上存在两点P,Q满足题意,则P,Q只能在y轴两侧,不妨设P(t,F(t))(t>0),则Q(-t,t3+t2),且t≠1,则是否存在P,Q等价于方程-t2+F(t)(t3+t2)=0在t>0且t≠1时是否有解.
解答:解:(1)由f(x)=-x3+x2+b,得f′(x)=-3x2+2x=-x(3x-2),
令f′(x)=0,得x=0或
列表如下:
x
f′(x)-+-
f(x)极小值极大值


即最大值为,∴b=0.…(4分)
(2)由g(x)≥-x2+(a+2)x,得(x-lnx)a≤x2-2x.
∵x∈[1,e],∴lnx≤1≤x,且等号不能同时取,
∴lnx<x,即x-lnx>0,
恒成立,即
,求导得,
当x∈[1,e]时,x-1≥0,lnx≤1,x+1-2lnx>0,从而t′(x)≥0,
∴t(x)在[1,e]上为增函数,∴tmin(x)=t(1)=-1,∴a≤-1.…(8分)
(3)由条件,
假设曲线y=F(x)上存在两点P,Q满足题意,则P,Q只能在y轴两侧,
不妨设P(t,F(t))(t>0),则Q(-t,t3+t2),且t≠1.
∵△POQ是以O(O为坐标原点)为直角顶点的直角三角形,∴
∴-t2+F(t)(t3+t2)=0…(*),…(10分)
是否存在P,Q等价于方程(*)在t>0且t≠1时是否有解.
①若0<t<1时,方程(*)为-t2+(-t3+t2)(t3+t2)=0,化简得t4-t2+1=0,此方程无解;  …(11分)
②若t>1时,(*)方程为-t2+alnt•(t3+t2)=0,即
设h(t)=(t+1)lnt(t>1),则
显然,当t>1时,h′(t)>0,即h(t)在(1,+∞)上为增函数,∴h(t)的值域为(h(1),+∞),即(0,+∞),∴当a>0时,方程(*)总有解.
∴对任意给定的正实数a,曲线y=F(x)上总存在两点P,Q,使得△POQ是以O(O为坐标原点)为直角顶点的直角三角形,且此三角形斜边中点在y轴上.…(14分)
点评:本题考查导数知识的运用,考查函数的最值,考查恒成立问题,考查是否存在问题的探究,综合性强.
练习册系列答案
相关习题

科目:高中数学 来源: 题型:

已知函数f(x)=sinxcosφ+cosxsinφ(其中x∈R,0<φ<π).
(1)求函数f(x)的最小正周期;
(2)若函数y=f(2x+
π
4
)
的图象关于直线x=
π
6
对称,求φ的值.

查看答案和解析>>

科目:高中数学 来源: 题型:

已知函数f(x)为定义在R上的奇函数,且当x>0时,f(x)=(sinx+cosx)2+2cos2x,
(1)求x<0,时f(x)的表达式;
(2)若关于x的方程f(x)-a=o有解,求实数a的范围.

查看答案和解析>>

科目:高中数学 来源: 题型:

已知函数f(x)=aInx-ax,(a∈R)
(1)求f(x)的单调递增区间;(文科可参考公式:(Inx)=
1
x

(2)若f′(2)=1,记函数g(x)=x3+x2[f(x)+
m
2
]
,若g(x)在区间(1,3)上总不单调,求实数m的范围.

查看答案和解析>>

科目:高中数学 来源: 题型:

已知函数f(x)=x2-bx的图象在点A(1,f(1))处的切线l与直线3x-y+2=0平行,若数列{
1
f(n)
}
的前n项和为Sn,则S2010的值为(  )
A、
2011
2012
B、
2010
2011
C、
2009
2010
D、
2008
2009

查看答案和解析>>

科目:高中数学 来源: 题型:

已知函数f(x)是定义在区间(-1,1)上的奇函数,且对于x∈(-1,1)恒有f’(x)<0成立,若f(-2a2+2)+f(a2+2a+1)<0,则实数a的取值范围是
 

查看答案和解析>>

同步练习册答案