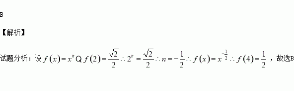
精英家教网 > 高中数学 > 题目详情

已知幂函数的图象过,则( )

A. B. C. D.

练习册系列答案
相关习题

科目:高中数学 来源:2015-2016学年湖北孝感高中高二上学期期中文科数学试卷(解析版) 题型:填空题

在一次射击训练中,某战士连续射击了两次.设命题是“第一次射击击中目标”, 是“第二次射击击中目标”.则命题“两次都没有击中目标”用及逻辑联结词可以表示为

查看答案和解析>>

科目:高中数学 来源:2016届黑龙江牡丹江一中高三10月月考文数学试卷(解析版) 题型:选择题

已知,且,若,则的大小关系是( )

A. B. C. D.无法确定

查看答案和解析>>

科目:高中数学 来源:2015-2016学年重庆市高一上学期期中数学试卷(解析版) 题型:选择题

函数满足,且当时,,则方程的所有实数根之和为( )

A、2 B、3 C、4 D、1

查看答案和解析>>

科目:高中数学 来源:2015-2016学年山东省高一上学期期中考试数试卷(解析版) 题型:解答题

某种商品在天内每件的销售价格(元)与时间(天)的函数关系用如图表示,该商品在天内日销售量(件)与时间(天)之间的关系如下表:

(1)根据提供的图象(如图),写出该商品每件的销售价格与时间的函数关系式;

(2)根据表提供的数据,写出日销售量与时间的一次函数关系式;

(3)求该商品的日销售金额的最大值,并指出日销售金额最大的一天是天中的第几天.(日销售金额每件的销售价格日销售量)

查看答案和解析>>

科目:高中数学 来源:2015-2016学年吉林长春十一中高一上学期期中文科数学卷(解析版) 题型:选择题

的值等于 ( )

A. B. C.- D.

查看答案和解析>>

科目:高中数学 来源:2015-2016学年黑龙江哈尔滨师大附中高二上期中文数学卷(解析版) 题型:解答题

设椭圆C: 的离心率与双曲线x2-y2=1的离心率互为倒数,且在椭圆上.

(Ⅰ) 求椭圆C的方程;

(Ⅱ) 若椭圆C左、右焦点分别为,过的直线与椭圆C相交于两点,求面积的最大值.

查看答案和解析>>

科目:高中数学 来源:2015-2016学年河北石家庄二中高一上学期期中数学试卷(解析版) 题型:解答题

已知集合

(Ⅰ)若

(Ⅱ)若,求实数

查看答案和解析>>

科目:高中数学 来源:2016届贵州省高三5月高考模拟文科数学试卷(解析版) 题型:选择题

三棱锥中,⊥平面,则该三棱锥外接球的表面积为( )

A. B. C. D.

查看答案和解析>>

同步练习册答案