精英家教网 > 高中数学 > 题目详情

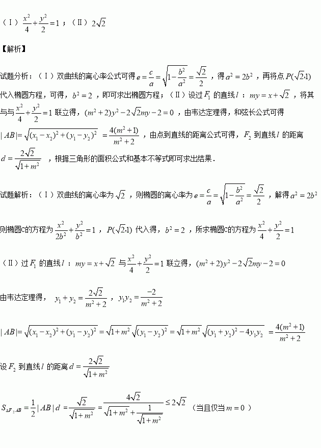
设椭圆C: 的离心率与双曲线x2-y2=1的离心率互为倒数,且在椭圆上.

(Ⅰ) 求椭圆C的方程;

(Ⅱ) 若椭圆C左、右焦点分别为,过的直线与椭圆C相交于两点,求面积的最大值.

练习册系列答案
相关习题

科目:高中数学 来源:2015-2016学年广东汕头金山中学高一上学期期中数学试卷(解析版) 题型:选择题

已知函数是定义在实数集R上的不恒为零的偶函数,且对任意实数都有

,则=( )

A.0 B. C.1 D.

查看答案和解析>>

科目:高中数学 来源:2016届广东省广州市高三上学期期中文科数学试卷(解析版) 题型:选择题

下列说法中,正确的是( )

A.命题“若,则”的否命题是假命题;

B.设为两个不同的平面,直线,则“”是“”成立的充分不必要条件;

C.命题“存在”的否定是“对任意”;

D.设:上的单调增函数,:,则的必要不充分条件.

查看答案和解析>>

科目:高中数学 来源:2015-2016学年山东省高一上学期期中考试数试卷(解析版) 题型:选择题

已知幂函数的图象过,则( )

A. B. C. D.

查看答案和解析>>

科目:高中数学 来源:2015-2016学年湖南衡阳八中高二上学期期中文科数学试卷(解析版) 题型:解答题

已知抛物线的顶点在原点,对称轴为轴,焦点在双曲线上,求抛物线方程.

查看答案和解析>>

科目:高中数学 来源:2015-2016学年黑龙江哈尔滨师大附中高二上期中理数学卷(解析版) 题型:解答题

在平面直角坐标系中,曲线与坐标轴的交点都在圆C上.

(Ⅰ)求圆的方程;

(Ⅱ)若圆与直线交于两点,且的值.

查看答案和解析>>

科目:高中数学 来源:2015-2016学年河北省高一上学期期中数学试卷(解析版) 题型:填空题

集合的子集个数为

查看答案和解析>>

科目:高中数学 来源:2015-2016学年陕西省西安市高一上学期期中考试数学试卷(解析版) 题型:选择题

,则的值为( )

A、15 B、20 C、.25 D、30

查看答案和解析>>

科目:高中数学 来源:2016届贵州省高三5月高考模拟理科数学试卷(解析版) 题型:解答题

已知函数都定义在上,其中是自然常数.

(Ⅰ)当时,求的单调性;

(Ⅱ)求证:在(Ⅰ)的条件下,恒成立;

(Ⅲ)若时,对于,使,求的取值范围.

查看答案和解析>>

同步练习册答案