精英家教网 > 高中数学 > 题目详情
设{an}和{bn}均为无穷数列.
(1)若{an}和{bn}均为等比数列,试研究:{an+bn}和{anbn}是否是等比数列?请证明你的结论;若是等比数列,请写出其前n项和公式.
(2)请类比(1),针对等差数列提出相应的真命题(不必证明),并写出相应的等差数列的前n项和公式(用首项与公差表示).
解:(1)①设cn=an+bn,则
﹣(+)(+
=a1b1(q1﹣q22
当q1=q2时,对任意的n∈N,n≥2,=c n+1 c n﹣1恒成立,
故{an+bn}为等比数列;       
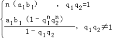
 ∴Sn=
当q1≠q2时,对任意的n∈N,n≥2,≠c n+1 c n﹣1,{an+bn}不是等比数列.
②设dn=anbn,对于任意n∈N*,,{anbn}是等比数列.
Sn=  
(2)设{an},{bn}均为等差数列,公差分别为d1,d2,则:
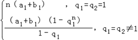
①{an+bn}为等差数列;Sn=(a1+b1)n+(d1+d2
②当d1与d2至少有一个为0时,{anbn}是等差数列,
若d1=0,Sn=a1b1n+a1d2
若d2=0,Sn=a1b1n+b1d1
③当d1与d2都不为0时,{anbn}一定不是等差数列.
练习册系列答案
相关习题

科目:高中数学 来源: 题型:

(2012•闸北区一模)设{an}和{bn}均为无穷数列.
(1)若{an}和{bn}均为等比数列,试研究:{an+bn}和{anbn}是否是等比数列?请证明你的结论;若是等比数列,请写出其前n项和公式.
(2)请类比(1),针对等差数列提出相应的真命题(不必证明),并写出相应的等差数列的前n项和公式(用首项与公差表示).

查看答案和解析>>

科目:高中数学 来源: 题型:

(任选一题)
(1)已知α、β为实数,给出下列三个论断:
①|α-β|≤|α+β|②|α+β|>5  ③|α|>2
2
,|β|>2
2

以其中的两个论断为条件,另一个论断为结论,写出你认为正确的命题是
①③⇒②
①③⇒②

(2)设{an}和{bn}都是公差不为零的等差数列,且
lim
n→∞
an
bn
=2
,则
lim
n→∞
b1+b2+…+bn
na2n
的值为
1
8
1
8

查看答案和解析>>

科目:高中数学 来源: 题型:

设{an}和{bn}都是公差不为零的等差数列,且
lim
n→∞
an
bn
=2
,则
lim
n→∞
b1+b2+…+bn
na2n
的值为
1
8
1
8

查看答案和解析>>

科目:高中数学 来源:2012年上海市闸北区高考数学一模试卷(理科)(解析版) 题型:解答题

设{an}和{bn}均为无穷数列.
(1)若{an}和{bn}均为等比数列,试研究:{an+bn}和{anbn}是否是等比数列?请证明你的结论;若是等比数列,请写出其前n项和公式.
(2)请类比(1),针对等差数列提出相应的真命题(不必证明),并写出相应的等差数列的前n项和公式(用首项与公差表示).

查看答案和解析>>

科目:高中数学 来源:2004年广东省深圳市松岗中学高考数学模拟试卷(2)(解析版) 题型:解答题

(任选一题)
(1)已知α、β为实数,给出下列三个论断:
①|α-β|≤|α+β|②|α+β|>5  ③|α|>2,|β|>2
以其中的两个论断为条件,另一个论断为结论,写出你认为正确的命题是   
(2)设{an}和{bn}都是公差不为零的等差数列,且,则的值为   

查看答案和解析>>

同步练习册答案