精英家教网 > 高中数学 > 题目详情

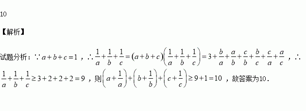
已知,且,则的最小值是________.

练习册系列答案
相关习题

科目:高中数学 来源:2016届江苏省苏州大学高考考前指导卷2数学试卷(解析版) 题型:解答题

已知函数(e为自然对数的底数,e).

(1)当时,求的单调区间和极值;

(2)①若对于任意,都有成立,求k的取值范围;②若,且,证明:

查看答案和解析>>

科目:高中数学 来源:2016届江西省九江市高三下学期三模文科数学试卷(解析版) 题型:解答题

已知函数.

(1)当时,求函数的单调区间;

(2)若函数存在两个极值点,求的取值范围.

查看答案和解析>>

科目:高中数学 来源:2016届江西省九江市高三下学期三模文科数学试卷(解析版) 题型:选择题

已知函数,若,则实数的取值范围是( )

A. B. C. D.

查看答案和解析>>

科目:高中数学 来源:2015-2016学年河北武邑中学高二下5.8周考文科数学卷(解析版) 题型:解答题

已知,且.求证:.

查看答案和解析>>

科目:高中数学 来源:2015-2016学年河北武邑中学高二下5.8周考文科数学卷(解析版) 题型:选择题

,且,则的最大值是( )

A.2 B. C. D.

查看答案和解析>>

科目:高中数学 来源:2015-2016学年河北武邑中学高二下5.8周考理科数学卷(解析版) 题型:解答题

甲箱的产品中有5个正品和3个次品,乙箱的产品有4个正品和3个次品.

(1)从甲箱中任取2个产品,求这2个产品都是次品的概率;

(2)若从甲箱中任取2个产品放入乙箱中,然后再从乙箱中任取一个产品,求取出的这个产品是正品的概率.

查看答案和解析>>

科目:高中数学 来源:2015-2016学年河北武邑中学高二下5.8周考理科数学卷(解析版) 题型:选择题

从甲地去乙地有3班火车,从乙地去丙地有2班轮船,甲到丙地再无其他路可走,则从甲地去丙地可选择的旅行方式有( )

A.5 种 B.6种 C.7种 D.8种

查看答案和解析>>

科目:高中数学 来源:2015-2016学年江西省高二下期中文科数学试卷(解析版) 题型:选择题

要得到一个偶函数,只需将函数的图象( )

A.向左平移个单位 B. 向右平移个单位

C.向左平移个单位 D.向右平移个单位

查看答案和解析>>

同步练习册答案