精英家教网 > 高中数学 > 题目详情

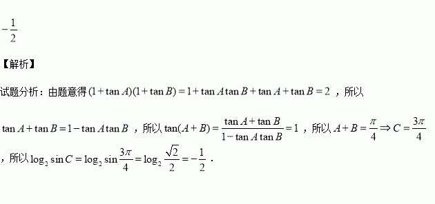
中,,则 .

练习册系列答案
相关习题

科目:高中数学 来源:2015-2016学年福建省高二下周练文科数学试卷(解析版) 题型:解答题

求适合下列条件的标准方程:

(1)焦点在轴上,与椭圆具有相同的离心率且过点的椭圆的标准方程;

(2)焦点在轴上,顶点间的距离为,渐近线方程为的双曲线的标准方程.

查看答案和解析>>

科目:高中数学 来源:2015-2016学年河北省高二6月月考理科数学试卷(解析版) 题型:解答题

已知函数.

(1)讨论上的单调性;

(2)设,直线是曲线在点处的切线, 直线是曲线在点处的切线. 若对任意点,总存在点,使得的下方,求实数的取值范围.

查看答案和解析>>

科目:高中数学 来源:2015-2016学年河北省高二6月月考理科数学试卷(解析版) 题型:选择题

已知是虚数单位,命题:在复平面内,复数对应的点位于第二象限;命题:复数的模等于,若是真命题,则实数的值等于( )

A. B. C. D.

查看答案和解析>>

科目:高中数学 来源:2015-2016学年安徽六安一中高一下周末统测十二数学试卷(解析版) 题型:解答题

已知函数.

(1)写出函数的单调递减区间;

(2)设的最小值是,最大值是,求实数的值.

查看答案和解析>>

科目:高中数学 来源:2015-2016学年安徽六安一中高一下周末统测十二数学试卷(解析版) 题型:选择题

的值( )

A. B.0 C. D.

查看答案和解析>>

科目:高中数学 来源:2015-2016学年安徽六安一中高一下周末统测十一数学试卷(解析版) 题型:解答题

已知函数的最小正周期为.

(1)求的值;

(2)讨论在区间上的单调性.

查看答案和解析>>

科目:高中数学 来源:2015-2016学年安徽六安一中高一下周末统测十一数学试卷(解析版) 题型:选择题

下列各式中,值为的是( )

A. B.

C. D.

查看答案和解析>>

科目:高中数学 来源:2015-2016学年北大附中河南分校高二普通上期末文数学卷(解析版) 题型:选择题

,则“”是“”的( )

A.充分而不必要条件 B.必要而不充分条件

C.充分必要条件 D.既不充分也不必要条件

查看答案和解析>>

同步练习册答案