精英家教网 > 高中数学 > 题目详情

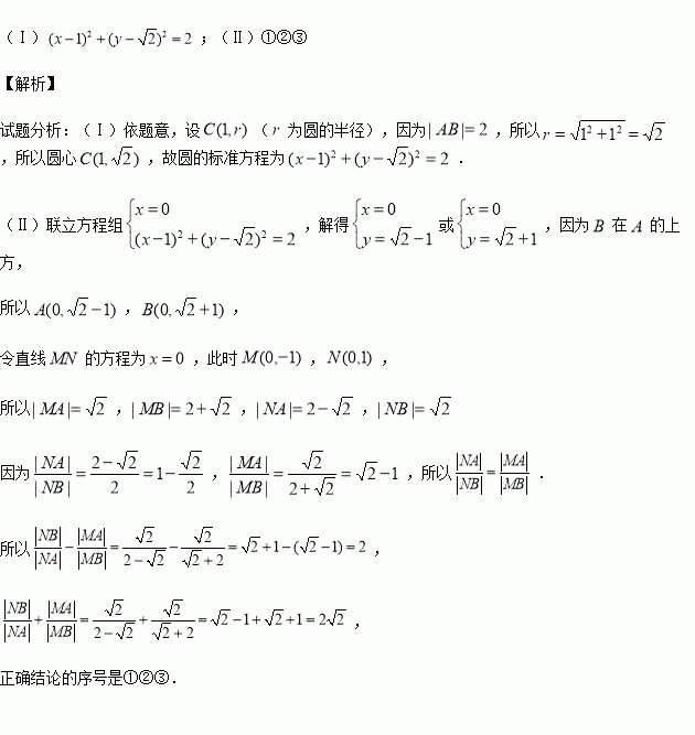
如图,圆轴相切于点,与轴正半轴

交于两点的上方),且

(Ⅰ)圆的标准方程为

(Ⅱ)过点任作一条直线与圆相交于两点,下列三个结论:

; ②;③

其中正确结论的序号是 .(写出所有正确结论的序号)

练习册系列答案
相关习题

科目:高中数学 来源:2015-2016学年广东省普宁市高二上期中文科数学试卷(解析版) 题型:选择题

已知集合,则( )

A. B. C. D.

查看答案和解析>>

科目:高中数学 来源:2016届辽宁省抚顺市高三上学期第一次模拟文科数学试卷(解析版) 题型:解答题

(本小题满分12分)如图,轴,点的延长线上,且,当点在圆上运动时.

(Ⅰ)求点的轨迹的方程;

(Ⅱ)过点作圆的切线交曲线两点,求面积的最大值和相应的点的坐标.

查看答案和解析>>

科目:高中数学 来源:2016届贵州省贵阳市高三上学期第三次月考文科数学试卷(解析版) 题型:解答题

(本小题满分12分)贵阳市某中学高三第一次摸底考试中名学生数学成绩的频率分布直方图如图所示,其中成绩分组区间是

(Ⅰ)求图中的值;

(Ⅱ)根据频率分布直方图,估计这名学生数学成绩的平均分;

(Ⅲ)若这名学生数学成绩某些分数段的人数()与语文成绩相应分数段的人数()之比如下表所示,求语文成绩在之外的人数.

查看答案和解析>>

科目:高中数学 来源:2016届福建省高三上学期期中理科数学试卷(解析版) 题型:填空题

,则

查看答案和解析>>

科目:高中数学 来源:2015-2016学年江西南昌二中高二上学期期中理科数学试卷(解析版) 题型:填空题

如图,圆轴相切于点,与轴正半轴交于两点的上方),且

(Ⅰ)圆的标准方程为

(Ⅱ)过点任作一条直线与圆相交于两点,下列三个结论:

; ②; ③

其中正确结论的序号是 .(写出所有正确结论的序号)

查看答案和解析>>

科目:高中数学 来源:2015-2016学年吉林省高一上学期期中数学试卷(解析版) 题型:选择题

已知函数与函数的图象关于直线对称,函数的图象与的图象关于轴对称,若,则实数的值为

(A) (B) (C) (D)

查看答案和解析>>

科目:高中数学 来源:2015-2016学年湖南省常德市高一上学期期中数学试卷(解析版) 题型:选择题

已知函数,若,则的值为( )

A. B. C. D.

查看答案和解析>>

科目:高中数学 来源:2016届浙江宁波效实中学高三上期中考试理科数学试卷(解析版) 题型:解答题

在四棱锥中,底面是边长的菱形,分别为的中点.

(1)求证:

(2)求二面角的大小的正弦值;

(3)求点到面距离.

查看答案和解析>>

同步练习册答案