精英家教网 > 高中数学 > 题目详情

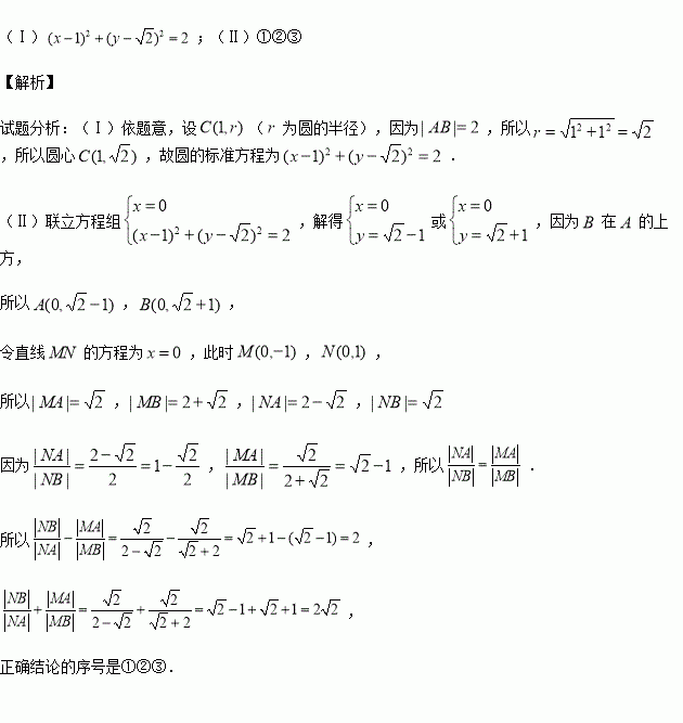
如图,圆轴相切于点,与轴正半轴交于两点的上方),且

(Ⅰ)圆的标准方程为

(Ⅱ)过点任作一条直线与圆相交于两点,下列三个结论:

; ②; ③

其中正确结论的序号是 .(写出所有正确结论的序号)

练习册系列答案
相关习题

科目:高中数学 来源:2015-2016学年广东省普宁市高二上期中理科数学试卷(解析版) 题型:选择题

下列函数中,为奇函数的是

A. B.

C. D.

查看答案和解析>>

科目:高中数学 来源:2016届黑龙江省牡丹江市高三上学期期中文科数学试卷(解析版) 题型:解答题

如图,四棱锥中,,四边形是边长为的正方形,若分别是线段的中点.

(1)求证:∥底面

(2)若点为线段的中点,求三角形的面积.

查看答案和解析>>

科目:高中数学 来源:2016届贵州省贵阳市高三上学期第三次月考文科数学试卷(解析版) 题型:选择题

已知集合,则( )

A. B. C. D.

查看答案和解析>>

科目:高中数学 来源:2015-2016学年江西南昌二中高二上学期期中文科数学试卷(解析版) 题型:填空题

如图,圆轴相切于点,与轴正半轴

交于两点的上方),且

(Ⅰ)圆的标准方程为

(Ⅱ)过点任作一条直线与圆相交于两点,下列三个结论:

; ②;③

其中正确结论的序号是 .(写出所有正确结论的序号)

查看答案和解析>>

科目:高中数学 来源:2015-2016学年吉林省高一上学期期中数学试卷(解析版) 题型:解答题

(本小题12分)已知函数

(Ⅰ)求函数g(x)的值域;

(Ⅱ)解方程:

查看答案和解析>>

科目:高中数学 来源:2015-2016学年吉林实验中学高二上学期期中文科数学试卷(解析版) 题型:填空题

若方程表示椭圆,则的取值范围是________.

查看答案和解析>>

科目:高中数学 来源:2015-2016学年湖北省高一上学期期中数学试卷(解析版) 题型:选择题

定义在上的偶函数满足,且在时,,若关于的方程上恰有3个不同的实数解,则实数的取值范围为( )

A. B. C. D.

查看答案和解析>>

科目:高中数学 来源:2016届山东省高三第二次诊断性考试文科数学试卷(解析版) 题型:解答题

(本小题满分13分)

已知函数为自然对数的底数

(Ⅰ)求函数的最小值;

(Ⅱ)若对任意的恒成立,求实数的值.

查看答案和解析>>

同步练习册答案