精英家教网 > 高中数学 > 题目详情
已知数列{an}满足:a1=1,a2=a(a>0),数列{bn}满足bn=anan+1(n∈N*)。
(Ⅰ)若{an}是等差数列,且b3=12,求数列{an}的通项公式;
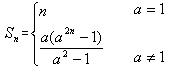
(Ⅱ)若{an}是等比数列,求数列{bn}的前n项和Sn
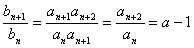
(Ⅲ)若{bn}是公比为a-1的等比数列时,{an}能否为等比数列?若能,求出a的值;若不能,请说明理由。
解:(Ⅰ)

即d=1或d=
又因a==1+d>0, 得d>-1,
∴d=1,∴=n。
(Ⅱ)

(Ⅲ)



假设为等比数列,

因此此方程无解,所以数列一定不能等比数列。
练习册系列答案
相关习题

科目:高中数学 来源: 题型:

已知数列{an}满足:a1=1且an+1=
3+4an
12-4an
, n∈N*

(1)若数列{bn}满足:bn=
1
an-
1
2
(n∈N*)
,试证明数列bn-1是等比数列;
(2)求数列{anbn}的前n项和Sn
(3)数列{an-bn}是否存在最大项,如果存在求出,若不存在说明理由.

查看答案和解析>>

科目:高中数学 来源: 题型:

已知数列{an}满足
1
2
a1+
1
22
a2+
1
23
a3+…+
1
2n
an=2n+1
则{an}的通项公式
 

查看答案和解析>>

科目:高中数学 来源: 题型:

已知数列{an}满足:a1=
3
2
,且an=
3nan-1
2an-1+n-1
(n≥2,n∈N*).
(1)求数列{an}的通项公式;
(2)证明:对于一切正整数n,不等式a1•a2•…an<2•n!

查看答案和解析>>

科目:高中数学 来源: 题型:

已知数列{an}满足an+1=|an-1|(n∈N*
(1)若a1=
54
,求an
(2)若a1=a∈(k,k+1),(k∈N*),求{an}的前3k项的和S3k(用k,a表示)

查看答案和解析>>

科目:高中数学 来源: 题型:

(2012•北京模拟)已知数列{an}满足an+1=an+2,且a1=1,那么它的通项公式an等于
2n-1
2n-1

查看答案和解析>>

同步练习册答案