精英家教网 > 高中数学 > 题目详情
设x∈R+,求的最大值.
【答案】分析:利用基本不等式,可求得x,从而可求得答案.
解答:解:∵x>0,
∴x=
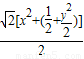
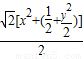
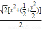
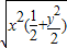
又x2+(+)=(x2+)+=
∴x×)=
=
点评:本题考查基本不等式,求得x是关键,也是难点所在,属于中档题.
练习册系列答案
相关习题

科目:高中数学 来源: 题型:

设x∈R+x2+
y2
2
=1
,求x
1+y2
的最大值.

查看答案和解析>>

科目:高中数学 来源: 题型:

(2013•青岛一模)已知函数f(x)=Asin(ωx+
π
6
)(x∈R,ω>0)
的最小正周期为T=6π,且f(2π)=2.
(Ⅰ)求函数f(x)的解析式;
(Ⅱ)设α,β∈[0,
π
2
],f(3α+π)=
16
5
f(3β+
2
)=-
20
13
,求cos(α-β)的值.

查看答案和解析>>

科目:高中数学 来源: 题型:解答题

设x∈R+数学公式,求数学公式的最大值.

查看答案和解析>>

科目:高中数学 来源:《第3章 不等式》2013年单元测试卷3(解析版) 题型:解答题

设x∈R+,求的最大值.

查看答案和解析>>

同步练习册答案