精英家教网 > 高中数学 > 题目详情

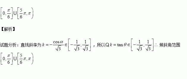
直线xcos α+y+2=0的倾斜角的范围是

练习册系列答案
相关习题

科目:高中数学 来源:2016届湖南省常德市高三上第五次月考文科数学试卷(解析版) 题型:解答题

为公差不为0的等差数列,,且成等比数列.

(1)求数列的通项公式;

(2)若数列的前项n和为,求数列的前项n和

查看答案和解析>>

科目:高中数学 来源:2015-2016学年四川省雅安市高二11月月考文科数学试卷(解析版) 题型:填空题

已知正四棱柱中,的中点,则异面直线所成角的余弦值为

查看答案和解析>>

科目:高中数学 来源:2015-2016学年浙江省金兰教育合作组织高一上学期期中联考数学试卷(解析版) 题型:填空题

设函数, 则 ,若,则

查看答案和解析>>

科目:高中数学 来源:2015-2016学年江苏省南通市高二上学期期中考试数学试卷(解析版) 题型:填空题

在直线2x-3y+6=0的上方,则的取值范围是

查看答案和解析>>

科目:高中数学 来源:2015-2016学年江苏省南通市高一上第一阶段考试数学试卷(解析版) 题型:填空题

已知,则

查看答案和解析>>

科目:高中数学 来源:2015-2016学年吉林省高一上学期期末数学试卷(解析版) 题型:解答题

已知

(Ⅰ)求的值;

(Ⅱ)求的值.

查看答案和解析>>

科目:高中数学 来源:2015-2016年宁夏银川唐徕回民中学高一上10月考数学卷(解析版) 题型:选择题

若函数的定义域为[0,],值域为[-6,-2],则的取值范围是( )

A. B. C. D.

查看答案和解析>>

科目:高中数学 来源:2016届上海市七校高三上12月联考理科数学试卷(解析版) 题型:填空题

(2015秋•上海月考)函数f(x)=x2﹣1(x≥1)的反函数是f﹣1(x)=

查看答案和解析>>

同步练习册答案