精英家教网 > 高中数学 > 题目详情

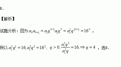
若等比数列满足anan+1=16n,则公比为( )

A.2 B.4 C.8 D.16

练习册系列答案
相关习题

科目:高中数学 来源:2014-2015学年西藏拉萨中学高二下学期期末理科数学试卷(解析版) 题型:选择题

将某选手的9个得分去掉1个最高分,去掉1个最低分,7个剩余分数的平均分为91,现场做的9个分数的茎叶图后来有一个数据模糊,无法辨认,在图中以x表示:则7个剩余分数的方差为( )

A. B. C.36 D.

查看答案和解析>>

科目:高中数学 来源:2014-2015学年广西河池市高二下学期期末理科数学试卷(解析版) 题型:选择题

二项式展开式中的常数项为( )

A. B. C.14 D.﹣14

查看答案和解析>>

科目:高中数学 来源:2016届山东省高三上学期开学考试文科数学试卷(解析版) 题型:选择题

函数的定义域为

A. B. C. D.

查看答案和解析>>

科目:高中数学 来源:2016届宁夏银川市高三上学期统练二文科数学试卷(解析版) 题型:解答题

(本小题满分12分)已知函数

(1)当时,求函数的单调区间;

(2)时,令.求上的最大值和最小值;

(3)若函数恒成立,求实数的取值范围.

查看答案和解析>>

科目:高中数学 来源:2016届宁夏银川市高三上学期统练二理科数学试卷(解析版) 题型:选择题

将函数图象向左平移个单位,所得函数图象的一条对称轴的方程是( )

A. B. C. D.

查看答案和解析>>

科目:高中数学 来源:2016届吉林省高三上学期第一次模拟文科数学试卷(解析版) 题型:解答题

(本题满分12分)如图,椭圆 的上、下顶点分别为A、B,已知点B在直线上,且椭圆的离心率

(1)求椭圆的标准方程;

(2)设P是椭圆上异于A、B的任意一点,PQ⊥y轴,Q为垂足,M为线段PQ的中点,直线AM交直线l于点C,N为线段BC的中点,求证:OM⊥MN.

查看答案和解析>>

科目:高中数学 来源:2016届湖北省等高三9月联考文科数学试卷(解析版) 题型:解答题

(本小题满分12分)已知函数(其中),

(Ⅰ)若命题是假命题,求的取值范围;

(Ⅱ)若命题为真命题,求的取值范围.

查看答案和解析>>

科目:高中数学 来源:2016届河北省高三上第二次月考理科数学试卷A(解析版) 题型:选择题

已知方程在(0,+∞)上有两个不同的解a,b(a<b),则下面结论正确的

是( )

A.sina=acosb B.sina=-acosb C.cosa=bsinb D.sinb=-bsina

查看答案和解析>>

同步练习册答案