精英家教网 > 高中数学 > 题目详情

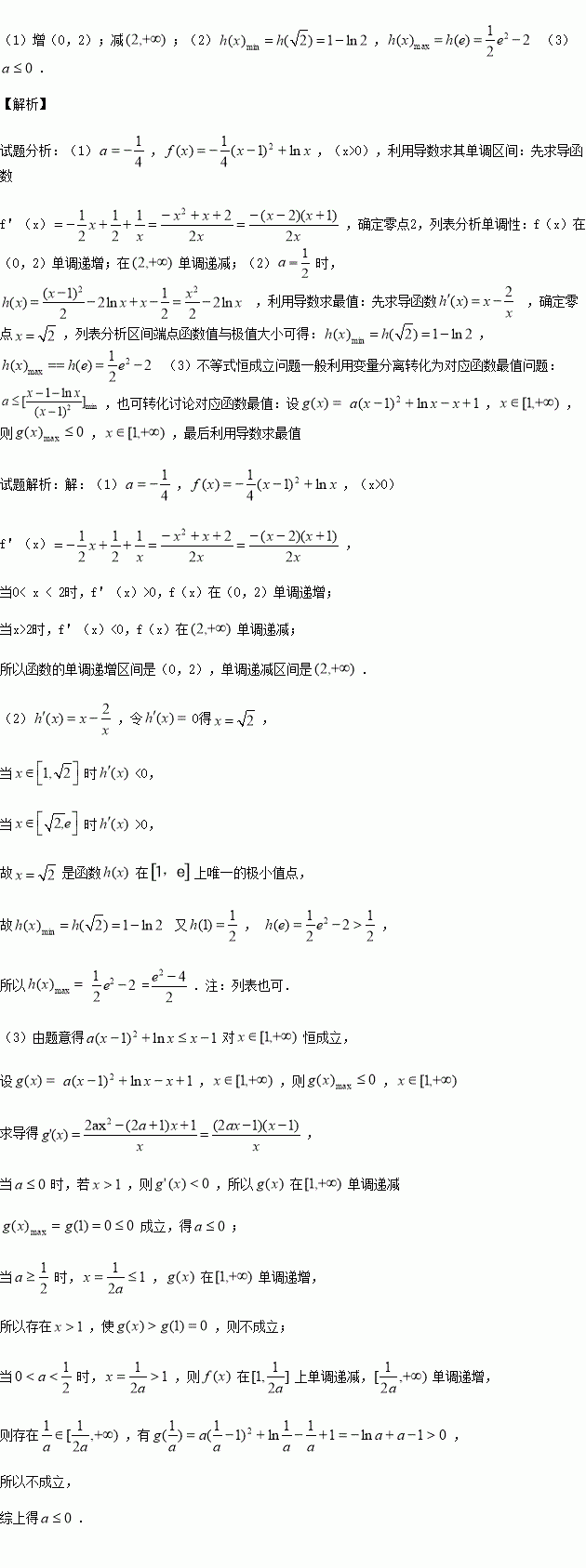
(本小题满分12分)已知函数

(1)当时,求函数的单调区间;

(2)时,令.求上的最大值和最小值;

(3)若函数恒成立,求实数的取值范围.

练习册系列答案
相关习题

科目:高中数学 来源:2014-2015学年东北三省等三校高三第一次模拟理科数学试卷(解析版) 题型:选择题

已知函数,若函数有且只有两个零点,则k的取值范围为( )

A. B. C. D.

查看答案和解析>>

科目:高中数学 来源:2014-2015学年河南省三门峡市高一下学期模拟考试数学试卷(解析版) 题型:选择题

若|a|=2sin 15°,|b|=4cos 15°,a与b的夹角为30°,则a·b的值是 ( )

A. B. C. D.

查看答案和解析>>

科目:高中数学 来源:2016届山东省高三上学期开学考试文科数学试卷(解析版) 题型:解答题

(本小题满分14分)已知函数

(Ⅰ)当时,求函数的单调区间;

(Ⅱ)时,令.求上的最大值和最小值;

(Ⅲ)若函数恒成立,求实数的取值范围.

查看答案和解析>>

科目:高中数学 来源:2016届山东省高三上学期开学考试理科数学试卷(解析版) 题型:解答题

(本小题满分12分)命题:关于x的不等式x2+2ax+4>0对一切x∈R恒成立,:函数f(x)=(3-2a)x是增函数.若为真,为假.求实数a的取值范围.

查看答案和解析>>

科目:高中数学 来源:2016届宁夏银川市高三上学期统练二文科数学试卷(解析版) 题型:选择题

若等比数列满足anan+1=16n,则公比为( )

A.2 B.4 C.8 D.16

查看答案和解析>>

科目:高中数学 来源:2016届江西省高三上学期第一次考试理科数学试卷(解析版) 题型:解答题

(本小题满分12分)

如图,已知四棱锥,底面为菱形,平面分别是的中点.

(Ⅰ)证明:

(Ⅱ)若,求二面角的余弦值.

查看答案和解析>>

科目:高中数学 来源:2016届湖北省高三9月调考文科数学试卷(解析版) 题型:解答题

(本小题满分12分)在△ABC中,a、b、c分别为角A、B、C的对边,

(1)求;

(2)若

查看答案和解析>>

科目:高中数学 来源:2016届河北省高三上第二次月考理科数学试卷B(解析版) 题型:选择题

设函数对任意的 ,都有,若函数,则的值是( )

A.1 B.-5或3 C.-2 D.

查看答案和解析>>

同步练习册答案