精英家教网 > 高中数学 > 题目详情


(本小题满分10分)
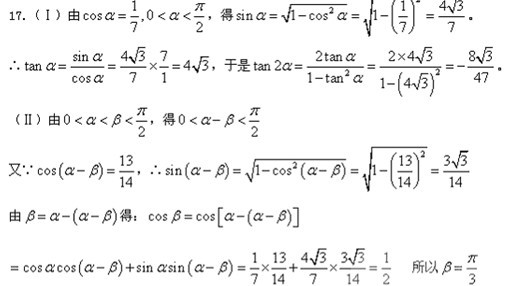
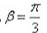
已知<<<,
(Ⅰ)求的值.
(Ⅱ)求.

练习册系列答案
相关习题

科目:高中数学 来源: 题型:

(选做题)本题包括A、B、C、D四小题,请选定其中两题,并在答题卡指定区域内作答,若多做,则按作答的前两题评分,解答时应写出文字说明、证明过程或演算步骤.
A.[选修4-1:几何证明选讲]
已知△ABC中,AB=AC,D是△ABC外接圆劣弧AC上的点(不与点A,C重合),延长BD至点E.
求证:AD的延长线平分∠CDE
B.[选修4-2:矩阵与变换]
已知矩阵A=
12
-14

(1)求A的逆矩阵A-1
(2)求A的特征值和特征向量.
C.[选修4-4:坐标系与参数方程]
已知曲线C的极坐标方程为ρ=4sinθ,以极点为原点,极轴为x轴的非负半轴建立平面直角坐标系,直线l的参数方程为
x=
1
2
t
y=
3
2
t+1
(t为参数),求直线l被曲线C截得的线段长度.
D.[选修4-5,不等式选讲](本小题满分10分)
设a,b,c均为正实数,求证:
1
2a
+
1
2b
+
1
2c
1
b+c
+
1
c+a
+
1
a+b

查看答案和解析>>

科目:高中数学 来源: 题型:

本题包括(1)、(2)、(3)、(4)四小题,请选定其中两题,并在答题卡指定区域内答,
若多做,则按作答的前两题评分.解答时应写出文字说明、证明过程或演算步骤.
(1)、选修4-1:几何证明选讲
如图,∠PAQ是直角,圆O与AP相切于点T,与AQ相交于两点B,C.求证:BT平分∠OBA
(2)选修4-2:矩阵与变换(本小题满分10分)
若点A(2,2)在矩阵M=
cosα-sinα
sinαcosα
对应变换的作用下得到的点为B(-2,2),求矩阵M的逆矩阵
(3)选修4-2:矩阵与变换(本小题满分10分)
在极坐标系中,A为曲线ρ2+2ρcosθ-3=0上的动点,B为直线ρcosθ+ρsinθ-7=0上的动点,求AB的最小值.
(4)选修4-5:不等式选讲(本小题满分10分)
已知a1,a2…an都是正数,且a1•a2…an=1,求证:(2+a1)(2+a2)…(2+an)≥3n

查看答案和解析>>

科目:高中数学 来源: 题型:

必做题:(本小题满分10分,请在答题指定区域内作答,解答时应写出文字说明、证明过程或演算步骤)
已知an(n∈N*)是二项式(2+x)n的展开式中x的一次项的系数.
(Ⅰ)求an
(Ⅱ)是否存在等差数列{bn},使an=b1cn1+b2cn2+b3cn3+…+bncnn对一切正整数n都成立?并证明你的结论.

查看答案和解析>>

科目:高中数学 来源: 题型:

(本小题满分10分)数学的美是令人惊异的!如三位数153,它满足153=13+53+33,即这个整数等于它各位上的数字的立方的和,我们称这样的数为“水仙花数”.请您设计一个算法,找出大于100,小于1000的所有“水仙花数”.
(1)用自然语言写出算法;
(2)画出流程图.

查看答案和解析>>

科目:高中数学 来源: 题型:

(选修4-2:矩阵与变换)(本小题满分10分)
求矩阵A=
32
21
的逆矩阵.

查看答案和解析>>

同步练习册答案