精英家教网 > 高中数学 > 题目详情

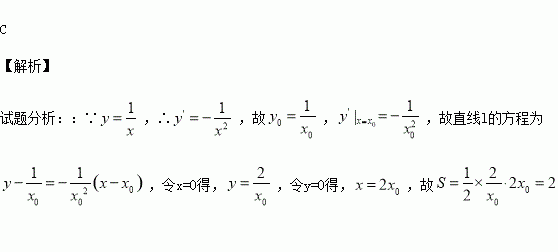
曲线在点处的切线为.若直线轴的交点分别为,则(其中为坐标原点)的面积为( )

A. B. C.2 D.

练习册系列答案
相关习题

科目:高中数学 来源:2015-2016学年北京市东城区高二上学期期末考试文科数学试卷(解析版) 题型:填空题

双曲线的两条渐近线的方程为_________。

查看答案和解析>>

科目:高中数学 来源:2015-2016学年江西省宜春市高二上期末文科数学试卷(解析版) 题型:填空题

已知椭圆和圆,若上存在点,使得过点引圆的两条切线,切点分别为,满足,则椭圆的离心率取值范围是

查看答案和解析>>

科目:高中数学 来源:2015-2016学年江西省宜春市高二上期末理科数学试卷(解析版) 题型:解答题

如图,在四棱柱ABCD-PGFE中,底面ABCD是直角梯形,侧棱垂直于底面,AB//DC,∠ABC=45o,DC=1,AB=2,PA=1.

(1)求PD与BC所成角的大小;

(2)求证:BC⊥平面PAC;

(3)求二面角A-PC-D的大小.

查看答案和解析>>

科目:高中数学 来源:2015-2016学年江西省宜春市高二上期末理科数学试卷(解析版) 题型:填空题

已知双曲线)的离心率为,则双曲线的渐近线方程为

查看答案和解析>>

科目:高中数学 来源:2015-2016学年江西省宜春市高二上期末理科数学试卷(解析版) 题型:选择题

已知△ABC的周长为20,且顶点B (0,-4),C (0,4),则顶点A的轨迹方程是( )

A.(x≠0) B.(x≠0)

C.(x≠0) D.(x≠0)

查看答案和解析>>

科目:高中数学 来源:2015-2016学年山东省高二上期末文科数学试卷(解析版) 题型:解答题

已知等比数列{an},首项为81,数列{bn}满足bn=log3an,其前n项和为Sn.

(1)证明{bn}为等差数列;

(2)若S11≠S12,且S11最大,求{bn}的公差d的范围.

查看答案和解析>>

科目:高中数学 来源:2015-2016学年山东省高二上期末理科数学试卷(解析版) 题型:解答题

设椭圆的一个顶点与抛物线的焦点重合,分别是椭圆的左、右焦点,且离心率,过椭圆右焦点的直线与椭圆交于两点.

(1)求椭圆的方程;

(2)若.求直线的方程;

(3)若是椭圆经过原点的弦,,求证:为定值.

查看答案和解析>>

科目:高中数学 来源:2015-2016学年山东省胶州市高二上学期期末考试文科数学试卷(解析版) 题型:选择题

已知椭圆的方程为,则此椭圆的长轴长为

A. 3 B. 4 C. 6 D. 8

查看答案和解析>>

同步练习册答案