精英家教网 > 高中数学 > 题目详情

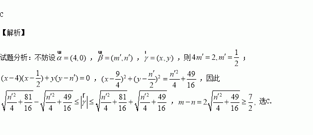
已知向量满足,若对于每一个确定的的最大值和最小值分别为 ,则对于任意的的最小值为( )

A. B. C. D.

练习册系列答案
相关习题

科目:高中数学 来源:2016届安徽省高三下学期冲刺模拟文科数学A卷(解析版) 题型:选择题

设第一象限内的点满足约束条件,目标函数的最大值为40,则的最小值为( )

A. B. C.1 D.4

查看答案和解析>>

科目:高中数学 来源:2016届安徽省高三下学期冲刺模拟文科数学C卷(解析版) 题型:解答题

已知数列满足.

(1)求数列的通项公式;

(2)若数列满足:,求数列的前项和.

查看答案和解析>>

科目:高中数学 来源:2016届安徽省高三下学期冲刺模拟理科数学C卷(解析版) 题型:解答题

选修4-5:不等式选讲

已知函数.

(1)当时,求不等式的解集;

(2)若函数的最小值为 ,求的值.

查看答案和解析>>

科目:高中数学 来源:2016届安徽省高三下学期冲刺模拟理科数学C卷(解析版) 题型:解答题

如图在平面四边形中,.

(1)求的取值范围;

(2)若,求的长.

查看答案和解析>>

科目:高中数学 来源:2016届安徽省高三下学期冲刺模拟理科数学C卷(解析版) 题型:选择题

内任一点,且,设的面积分别为,且,则在平面直角中坐标系中,以为坐标的点的轨迹图形是( )

A. B.

C. D.

查看答案和解析>>

科目:高中数学 来源:2016届重庆市高三下学期模拟文科数学试卷(解析版) 题型:解答题

选修4-5:不等式选讲

(1) 求的解集;

若不等式对任意实数恒成立,求实数的取值范围.

查看答案和解析>>

科目:高中数学 来源:2016届重庆市高三下学期模拟文科数学试卷(解析版) 题型:选择题

设曲线在点处的切线与直线有相同的方向向量,则等于( )

A. B. C.-2 D.2

查看答案和解析>>

科目:高中数学 来源:2015-2016学年宁夏六盘山高中高二下第二次月考理数学卷(解析版) 题型:选择题

从1,2,3,4,5中任取2个不同的数,事件“取到的2个数之和为偶数”,事件“取到的2个数均为偶数”,则( )

A. B. C. D.

查看答案和解析>>

同步练习册答案