精英家教网 > 高中数学 > 题目详情

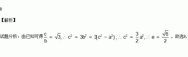
已知双曲线的左,右焦点与虚轴的一个端点构成一个角为120°的三角形,则双曲线的离心率为( )

A. B. C. D.

练习册系列答案
相关习题

科目:高中数学 来源:2016届云南省高三适应性月考八文科数学试卷(解析版) 题型:选择题

已知函数,则的取值范围是( )

A. B. C. D.

查看答案和解析>>

科目:高中数学 来源:2016届西藏日喀则一中高三下学期二模文科数学试卷(解析版) 题型:填空题

已知抛物线的准线方程为,焦点为为该抛物线上不同的三点,成等差数列,且点轴下方,若,则直线的方程为

查看答案和解析>>

科目:高中数学 来源:2016届西藏日喀则一中高三下学期二模理科数学试卷(解析版) 题型:解答题

已知正项数列的前项和为,且,数列满足,且.

(1)求数列的通项公式;

(2)记,求.

查看答案和解析>>

科目:高中数学 来源:2016届西藏日喀则一中高三下学期二模理科数学试卷(解析版) 题型:选择题

已知函数有三个不同的零点其中,则的值为( )

A. B. C.-1 D.1

查看答案和解析>>

科目:高中数学 来源:2016届江苏省高三考前一周双练三模数学试卷(解析版) 题型:解答题

,集合的所有个元素的子集记为

(1)求集合中所有元素之和

(2)记)中最小元素与最大元素之和,求的值.

查看答案和解析>>

科目:高中数学 来源:2016届江苏省高三考前一周双练三模数学试卷(解析版) 题型:解答题

对于数列,若从第二项起,每一项与它前一项的差依次组成等比数列,则称该等比数列为“差等比数列”,现已知,设其差等比数列的首项为,公比为).

(1)是否存在,使得数列是等差数列或等比数列?若存在,求出的值;若不存在,请说明理由;

(2)当时,若是公差为的等差数列,且.试确定的取值范围,使得

查看答案和解析>>

科目:高中数学 来源:2016届江苏省高三考前一周双练三模数学试卷(解析版) 题型:填空题

),其中是虚数单位,则

查看答案和解析>>

科目:高中数学 来源:2016届四川省高三下三诊考试理科数学试卷(解析版) 题型:选择题

执行如图所示程序框图,则输出的为( )

A. B. C. D.

查看答案和解析>>

同步练习册答案