精英家教网 > 高中数学 > 题目详情

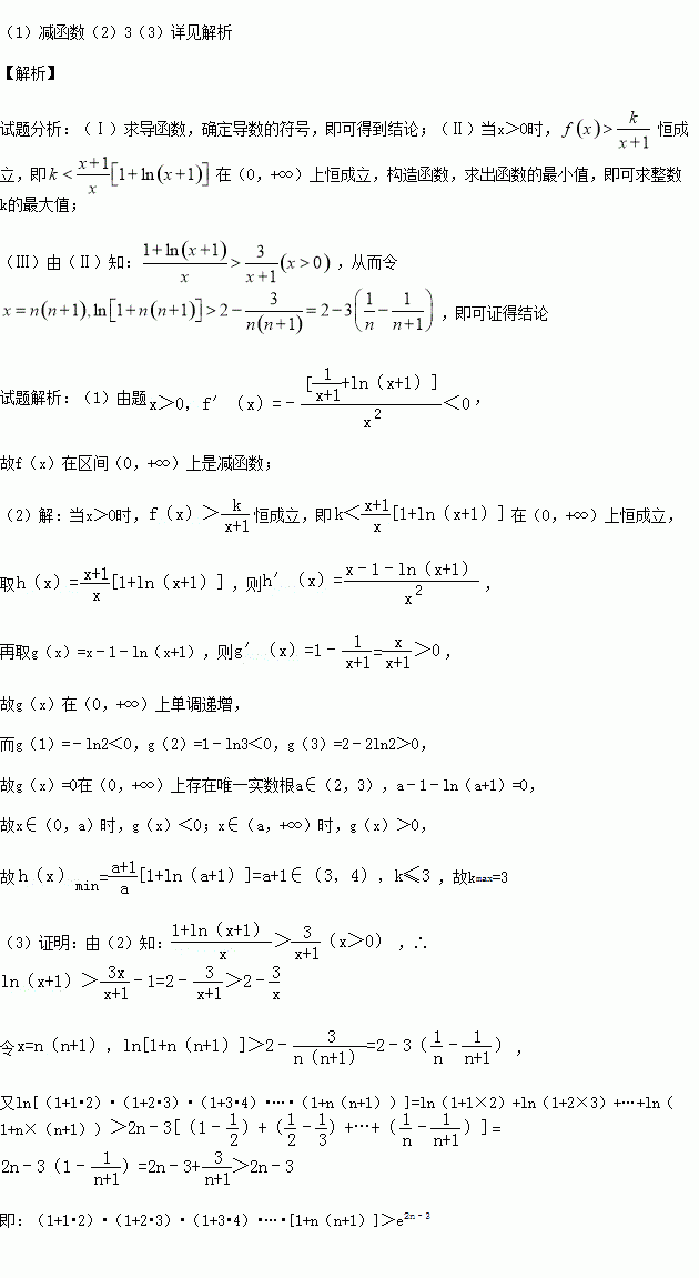
已知函数

(1)函数f(x)在区间(0,+∞)上是增函数还是减函数?证明你的结论;

(2)当x>0时,恒成立,求整数k的最大值;

(3)试证明:(1+1•2)•(1+2•3)•(1+3•4)•…•(1+n(n+1))>e2n﹣3.

练习册系列答案
相关习题

科目:高中数学 来源:2015-2016学年河北省高一3月月考文科数学试卷(解析版) 题型:选择题

函数y=2sin(ωx+φ),|φ|<的图象如图所示,则 ( )

A.ω=,φ= B.ω=,φ= -

C.ω=2,φ= D.ω=2,φ= -

查看答案和解析>>

科目:高中数学 来源:2015-2016学年安徽省国科大附中高一下期中数学试卷(解析版) 题型:选择题

的值为( )

A. B. C. D.

查看答案和解析>>

科目:高中数学 来源:2015-2016学年湖北省黄石市高二下期中文科数学试卷(解析版) 题型:选择题

在平面直角坐标系中,点P是直线上一动点,点F(1,0),点Q为PF的中点,点M满足,过点M作圆的切线,切点分别A,B,则|AB|的最小值为( )

A. 3 B. C. D.

查看答案和解析>>

科目:高中数学 来源:2015-2016学年湖北省黄石市高二下期中文科数学试卷(解析版) 题型:选择题

已知非零平面向量,“”是“”的( )

A.充分而不必要条件 B.必要而不充分条件

C.充分必要条件 D.既不充分也不必要条件

查看答案和解析>>

科目:高中数学 来源:2015-2016学年湖北省黄石市高二下期中理科数学试卷(解析版) 题型:解答题

已知函数.

(Ⅰ)求的最小正周期:

(Ⅱ)求在区间上的最大值和最小值.

查看答案和解析>>

科目:高中数学 来源:2015-2016学年湖北省黄石市高二下期中理科数学试卷(解析版) 题型:选择题

运行如下程序A框图,如果输入的,则输出s属于( )

A. B. C. D.

查看答案和解析>>

科目:高中数学 来源:2015-2016学年湖北省襄阳市四校高一下学期期中联考数学试卷(解析版) 题型:填空题

中,角所对的边分别为.已知,则=

查看答案和解析>>

科目:高中数学 来源:2015-2016学年广东省高一下第一次月考文科数学试卷(解析版) 题型:解答题

如图的茎叶图记录了甲、乙两代表队各10名同学在一次英语听力比赛中的成绩(单位:分),已知甲代表队数据的中位数为76,乙代表队数据的平均数是75.

(1)求x,y的值;

(2)判断甲、乙两队谁的成绩更稳定,并说明理由(方差较小者稳定).

查看答案和解析>>

同步练习册答案