精英家教网 > 高中数学 > 题目详情

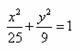
 椭圆的两焦点,点P在椭圆上,若的面积最大为12,则椭圆方程为          

练习册系列答案
相关习题

科目:高中数学 来源: 题型:


已知正项等比数列{an}满足:a7=a6+2a5,若存在两项aman,使得=4a1,则的最小值为

A、   B、   C、  D、不存在

查看答案和解析>>

科目:高中数学 来源: 题型:


已知,则的夹角是(    )

A.        B.           C.        D.

查看答案和解析>>

科目:高中数学 来源: 题型:


抛物线上的一点M到焦点的距离为1,则点M的纵坐标为    (    )

A.              B.             C.             D.0

查看答案和解析>>

科目:高中数学 来源: 题型:


是定义在上的可导函数,且满足,对任意正数,若,则必有                                            (  ) 

A.   B.    C.     D.

查看答案和解析>>

科目:高中数学 来源: 题型:


已知曲线在点P处的切线方程为,求切点P的坐标和实数的值.

查看答案和解析>>

科目:高中数学 来源: 题型:


段论:“雅安人一定坚强不屈雅安人是中国人所有的中国人都坚强不屈”中,其中“大前提”和“小前提”分别是等于

    A.        B.            C.           D.

 

查看答案和解析>>

科目:高中数学 来源: 题型:


记者要为5名志愿都和他们帮助的2位老人拍照,要求排成一排,2位老人相邻但不排在两端,不同的排法共有            种(用数字作答)

查看答案和解析>>

科目:高中数学 来源: 题型:


如果对于一切的正实数xy,不等式都成立,则实数a的取值范围______

查看答案和解析>>

同步练习册答案