精英家教网 > 高中数学 > 题目详情
已知两定点F1(-1,0),F2(1,0),满足||+||=4的动点P的轨迹是曲线C.
(Ⅰ) 求曲线C的标准方程;
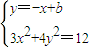
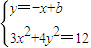
(Ⅱ)直线l:y=-x+b与曲线C交于A,B两点,求△AOB面积的最大值.
【答案】分析:(Ⅰ)由题意知,曲线C是以F1,F2为焦点的椭圆.故a=2,c=1,由此能求出曲线C的方程.
(Ⅱ)设直线l与椭圆,交点A(x1,y1),B(x2,y2),联立方程,得7x2-8bx+4b2-12=0,因为△=48(7-b2)>0,所以b2<7,再由韦达定理和点到直线的距离公式结合题设条件能够求出△AOB面积的最大值.
解答:解:(Ⅰ)由题意知,曲线C是以F1,F2为焦点的椭圆.
∴a=2,c=1,∴b2=3,
故曲线C的方程为:.…(3分)
(Ⅱ)设直线l与椭圆,交点A(x1,y1),B(x2,y2),
联立方程
得7x2-8bx+4b2-12=0,…(4分)
因为△=48(7-b2)>0,
解得b2<7,且,(5分)
∵点O到直线l的距离d=,…(6分)
|AB|==,…(9分)
=.…(10分)
当且仅当b2=7-b2,即时,取到最大值.
∴△AOB面积的最大值为.…(12分)
点评:本题考是曲线方程的求法,考要三角形最大面积的求法.解题时要认真审题,仔细解答,注意点到直线距离公式、根的判别式、韦达定理的合理运用.
练习册系列答案
相关习题

科目:高中数学 来源: 题型:

已知两定点F1(-1,0),F2(1,0)和一动点P,给出下列结论:
①若|PF1|+|PF2|=2,则点P的轨迹是椭圆;
②若|PF1|-|PF2|=1,则点P的轨迹是双曲线;
③若
|PF1||PF2|
=λ(λ>0,λ≠1)
,则点P的轨迹是圆;
④若|PF1|•|PF2|=a2(a≠0),则点P的轨迹关于原点对称;
其中正确的是
③④
③④
(填序号)

查看答案和解析>>

科目:高中数学 来源: 题型:

已知两定点F1(-1,0),F2(1,0),且
1
2
|F1F2|
是|PF1|与|PF2|的等差中项,则动点P的轨迹是(  )

查看答案和解析>>

科目:高中数学 来源: 题型:

(2012•闵行区三模)在直角坐标平面xoy中,已知两定点F1(-1,0)与F2(1,0)位于动直线l:ax+by+c=0的同侧,设集合P={l|点F1与点F2到直线l的距离之差等于1},Q={(x,y)|x2+y2≤1,y∈R},
记S={(x,y)|(x,y)∉l,l∈P},T={(x,y)|(x,y)∈Q∩S}.则由T中的所有点所组成的图形的面积是
3
2
+
π
3
3
2
+
π
3

查看答案和解析>>

科目:高中数学 来源: 题型:

(2012•闵行区三模)规定:直线l到点F的距离即为点F到直线l的距离,在直角坐标平面xoy中,已知两定点F1(-1,0)与F2(1,0)位于动直线l:ax+by+c=0的同侧,设集合P={l|点F1与点F2到直线l的距离之和等于2},Q={(x,y)|(x,y)∉l,l∈P}.则由Q中的所有点所组成的图形的面积是
π
π

查看答案和解析>>

科目:高中数学 来源: 题型:

(2012•吉林二模)已知两定点F1(-1,0),F2(1,0),满足|
PF1
|+|
PF2
|=4的动点P的轨迹是曲线C.
(Ⅰ) 求曲线C的标准方程;
(Ⅱ)直线l:y=-x+b与曲线C交于A,B两点,求△AOB面积的最大值.

查看答案和解析>>

同步练习册答案