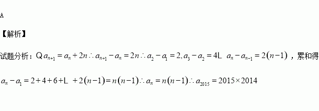
精英家教网 > 高中数学 > 题目详情

已知数列{an}满足a1=0,an+1=an+2n,则a2 015等于( )

A.2015×2014 B.2014×2013

C.2013×2012 D.2015×2016

练习册系列答案
相关习题

科目:高中数学 来源:2015-2016学年福建省四地六校高一上学期10月第一次联考数学试卷(解析版) 题型:选择题

集合{,1},{,1,2},其中{1,2,…,8}且,把满足上述条件的一对有序整数()作为一个点,这样的点的个数是( )

(A)8 (B)12 (C)13 (D)18

查看答案和解析>>

科目:高中数学 来源:2015-2016学年黑龙江省高一上学期第一阶段考数学试卷(解析版) 题型:填空题

如果函数,那么的值为________.

查看答案和解析>>

科目:高中数学 来源:2015-2016学年陕西省西安市高一10月月考数学试卷(解析版) 题型:选择题

已知,则f(3)为( )

A 2 B 3 C 4 D 5

查看答案和解析>>

科目:高中数学 来源:2015-2016学年陕西省西安市高二10月月考文科数学试卷(解析版) 题型:选择题

删除正整数数列1,2,3,……中的所有完全平方数,得到一个新数列.这个新数列的第2015项是( )

A.2058 B.2059 C.2060 D.2061

查看答案和解析>>

科目:高中数学 来源:2015-2016学年山西省高二上学期9月模块诊断数学试卷(解析版) 题型:选择题

定义域为的函数满足时,时,恒成立,则实数的取值范围是

A. B. C. D.

查看答案和解析>>

科目:高中数学 来源:2015-2016学年吉林省高二上学期第一次月考文科数学试卷(解析版) 题型:选择题

//,a//,则a与的关系是 ( )

A.a// B.a C.a//或a D.

查看答案和解析>>

科目:高中数学 来源:2015-2016学年湖北省高二上学期第一次月考理科数学试卷(解析版) 题型:解答题

(本小题满分12分)(理科)已知圆

(1)若圆的切线在轴和轴上截距相等,求切线的方程;

(2)从圆外一点向圆引切线为切点,为坐标原点,且,求的最小值以及此时点的坐标.

查看答案和解析>>

科目:高中数学 来源:2015-2016学年河北邢台市高二上学期第一次月考文科数学试卷(解析版) 题型:选择题

圆台的上、下底面半径和高的比为1: 4: 4,母线长为10,则圆台的侧面积为( )

A.81π B.100π C.14π D.169π

查看答案和解析>>

同步练习册答案