精英家教网 > 高中数学 > 题目详情

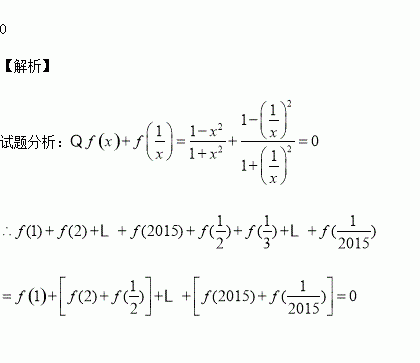
如果函数,那么的值为________.

练习册系列答案
相关习题

科目:高中数学 来源:2015-2016学年广西钦州港开发区中学高二上第一次月考文科数学试卷(解析版) 题型:解答题

(本小题满分12分)是单位圆上的点,点是单位圆与轴正半轴的交点,点在第二象限.记

(1)求点坐标;

(2)求的值.

查看答案和解析>>

科目:高中数学 来源:2015-2016学年安徽省合肥市高二上开学考试理科数学试卷(解析版) 题型:选择题

已知各项不为0的等差数列{an}满足,数列{bn}是等比数列,且,则等于( )

A.1 B.2 C.4 D.8

查看答案和解析>>

科目:高中数学 来源:2015-2016学年河北省高二10月月考数学试卷(解析版) 题型:选择题

的内角的对边分别为,那么角等于( )

A. B. C. D.

查看答案和解析>>

科目:高中数学 来源:2015-2016学年广东省高二9月阶段测试文科数学试卷(解析版) 题型:填空题

某中学的“希望工程”募捐小组暑假期间走上街头进行一次募捐活动,共获得捐款

1200元。他们第1天只得到10元,之后采取了积极措施,从第2天起,每1天获得的捐款比前1天多10元,这次募捐活动一共进行了 天.

查看答案和解析>>

科目:高中数学 来源:2015-2016学年河南省高一10月月考数学试卷(解析版) 题型:解答题

如图所示,直线轴,从原点开始向右平行移动到处停止,它截△AOB所得左侧图形的面积为S,它与x轴的交点为

(1)求函数的解析式;

(2)解不等式

查看答案和解析>>

科目:高中数学 来源:2015-2016学年陕西省西安市高一第一次月考数学试卷(解析版) 题型:选择题

已知f(x)=,则f [ f (-3)]等于

A、0 B、π C、π2 D、9

查看答案和解析>>

科目:高中数学 来源:2015-2016学年陕西省西安市高二10月月考理科数学试卷(解析版) 题型:选择题

已知数列{an}满足a1=0,an+1=an+2n,则a2 015等于( )

A.2015×2014 B.2014×2013

C.2013×2012 D.2015×2016

查看答案和解析>>

科目:高中数学 来源:2016届广东省广州市荔湾区高三上学期调研测试一理科数学试卷(解析版) 题型:解答题

(本小题满分12分)已知函数为自然对数的底数),曲线在点处的切线方程为

(1)求的值;

(2)任意时,证明:

查看答案和解析>>

同步练习册答案