精英家教网 > 高中数学 > 题目详情

已知椭圆的左、右焦点分别为,若椭圆上存在点P使,则该椭圆的离心率的取值范围为___   

 

【答案】

【解析】

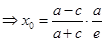
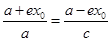
试题分析:要求离心率的取值范围,要求我们能找到一个关于离心率或的不等关系,我们从唯一的已知等式入手,在中有,因此有是椭圆上的点到焦点的距离,于是想到焦半径公式,设,则,从而有.根据题意,,因此不等关系就是,即,解得,又椭圆中,故.

考点:正弦定理,椭圆的离心率,焦半径公式.

 

练习册系列答案
相关习题

科目:高中数学 来源: 题型:

已知椭圆的左、右焦点分别为F1,F2,椭圆的离心率为
1
2
且经过点P(1,
3
2
)
.M为椭圆上的动点,以M为圆心,MF2为半径作圆M.
(1)求椭圆C的标准方程;
(2)若圆M与y轴有两个交点,求点M横坐标的取值范围;
(3)是否存在定圆N,使得圆N与圆M相切?若存在.求出圆N的方程;若不存在,说明理由.

查看答案和解析>>

科目:高中数学 来源: 题型:

已知椭圆的左、右焦点分别为,其右准线上上存在点(点 轴上方),使为等腰三角形.

⑴求离心率的范围;

    ⑵若椭圆上的点到两焦点的距离之和为,求的内切圆的方程.

查看答案和解析>>

科目:高中数学 来源:2011-2012学年山东省高三下学期假期检测考试理科数学试卷 题型:解答题

已知椭圆的左、右焦点分别为, 点是椭圆的一个顶点,△是等腰直角三角形.

(Ⅰ)求椭圆的方程;

(Ⅱ)过点分别作直线交椭圆于两点,设两直线的斜率分别为,且,证明:直线过定点().

 

查看答案和解析>>

科目:高中数学 来源:2010-2011学年福建省三明市高三上学期三校联考数学理卷 题型:解答题

(本题满分14分)     已知椭圆的左、右焦点分别为F1、F2,其中

F2也是抛物线的焦点,M是C1与C2在第一象限的交点,且  

(I)求椭圆C1的方程;   (II)已知菱形ABCD的顶点A、C在椭圆C1上,顶点B、D在直线上,求直线AC的方程。

 

查看答案和解析>>

科目:高中数学 来源:2010-2011学年云南省德宏州高三高考复习数学试卷 题型:解答题

(本小题满分12分)

已知椭圆的左、右焦点分别为,离心率,右准线方程为

(I)求椭圆的标准方程;

(II)过点的直线与该椭圆交于MN两点,且,求直线的方程.

 

查看答案和解析>>

同步练习册答案