精英家教网 > 高中数学 > 题目详情
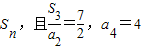
已知{an}是等比数列,公比q>1,前n项和为
(1)求数列{an},{bn}的通项公式;
(2)设数列{bnbn+1}的前n项和为Tn,求证
【答案】分析:(1)由{an}是等比数列,公比q>1,且,a4=4,利用等比数列的通项公式和前n项和公式列出方程组,求出,q=2,由此能求出an,再由an能求出bn
(2)由bn=,设cn=bnbn+1==,由此利用裂项求和法求出数列{bnbn+1}的前n项和为Tn,由此能够证明
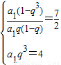
解答:解:(1)∵{an}是等比数列,公比q>1,且,a4=4,
,解得,q=2,
=2n-2
∴bn===
(2)设cn=bnbn+1==
∴Tn=(1-++…+
=(1-
=-
因为Tn<Tn+1,所以,n∈N*

点评:本题考查数列的通项公式的求法,考查不等式的证明.解题时要认真审题,注意等比数列的性质和裂项求和法的合理运用.
练习册系列答案
相关习题

科目:高中数学 来源: 题型:

(2013•温州一模)已知q是等比数{an}的公比,则q<1”是“数列{an}是递减数列”的(  )

查看答案和解析>>

科目:高中数学 来源: 题型:单选题

已知q是等比数{an}的公比,则q<1”是“数列{an}是递减数列”的


  1. A.
    充分不必要条件
  2. B.
    必要不充分条件
  3. C.
    充要条件
  4. D.
    既不充分也不必要条件

查看答案和解析>>

科目:高中数学 来源:温州一模 题型:单选题

已知q是等比数{an}的公比,则q<1”是“数列{an}是递减数列”的(  )
A.充分不必要条件B.必要不充分条件
C.充要条件D.既不充分也不必要条件

查看答案和解析>>

科目:高中数学 来源:2013-2014学年浙江省温州市八校联考高三(上)9月月考数学试卷(理科)(解析版) 题型:选择题

已知q是等比数{an}的公比,则q<1”是“数列{an}是递减数列”的( )
A.充分不必要条件
B.必要不充分条件
C.充要条件
D.既不充分也不必要条件

查看答案和解析>>

同步练习册答案