精英家教网 > 高中数学 > 题目详情

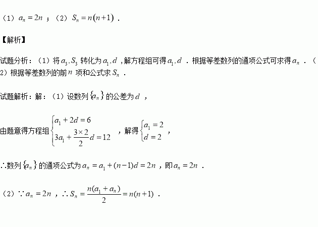
已知数列{}是等差数列,其前n项和为

(1)求数列{}的通项公式;

(2)求

练习册系列答案
相关习题

科目:高中数学 来源:2016届江西省高三上学期第三次考试理科数学试卷(解析版) 题型:选择题

在△ABC中,若点D满足,则( )

A. B.

C. D.

查看答案和解析>>

科目:高中数学 来源:2015-2016学年辽宁省葫芦岛市高一上学期期中考试数学试卷(解析版) 题型:解答题

已知定义在R上的函数f(x)对任意实数x、y恒有f(x)+f(y)=f(x+y),且当x>0时,f(x)<0,又f(1)=-

(1)求证:f(x)为奇函数;

(2)求证:f(x)在R上是减函数;

(3)求f(x)在[-3,6]上的最大值与最小值

查看答案和解析>>

科目:高中数学 来源:2015-2016学年黑龙江省高二上学期期中数学试卷(解析版) 题型:选择题

平行线的距离是( )

A. B. C. D.

查看答案和解析>>

科目:高中数学 来源:2015-2016学年湖南省高二上学期期中文科数学试卷(解析版) 题型:解答题

在△ABC中,角A、B、C所对的边分别为a、b、c,已知2cos(A+B)=﹣1,且满足a、b是方程x2﹣2x+2=0的两根.

(1)求角C的大小和边c的长度;

(2)求△ABC的面积.

查看答案和解析>>

科目:高中数学 来源:2015-2016学年吉林省扶余市高二上学期期中考试理科数学试卷(解析版) 题型:解答题

中,上的点,平分面积是面积的2倍.

(Ⅰ)求

(Ⅱ)若,求的长.

查看答案和解析>>

科目:高中数学 来源:2015-2016学年湖南省高二上学期期中考试理科数学试卷(解析版) 题型:解答题

(本题10分)已知命题<,和命题,为真,为假,求实数c的取值范围.

查看答案和解析>>

科目:高中数学 来源:2015-2016学年福建省高二上学期期中考试理科数学试卷(解析版) 题型:选择题

下列命题正确的是( )

A.若,则

B.若,则

C.若,则

D.若,则

查看答案和解析>>

科目:高中数学 来源:2015-2016学年江西省赣州市十三县高二上期中联考理科数学试卷(解析版) 题型:解答题

(本题10分)

按规定:车辆驾驶员血液酒精浓度在(不含)之间,属酒后驾车;在(含)以上时,属醉酒驾车.某市交警在某路段的一次拦查行动中,依法检查了辆机动车,查出酒后驾车和醉酒驾车的驾驶员人,右图是对这人血液中酒精含量进行检查所得结果的频率分布直方图.

(1)根据频率分布直方图,求:此次抽查的人中,醉酒驾车的人数;

(2)从血液酒精浓度在范围内的驾驶员中任取人,求恰有人属于醉酒驾车的概率.

查看答案和解析>>

同步练习册答案